近日,中国科学院合肥物质院等离子体所聚变堆包层与安全研究中心的霍志鹏副研究员及其指导的硕士研究生鲁义东研制了一类用于中子伽马混合场辐射屏蔽的微米板Sm2O3增强含硼聚乙烯复合材料,同时针对材料的微结构与热、力学以及辐射屏蔽性能之间的关联机制展开了实验研究,并申请了1项发明专利。相关研究成果发表在材料科学1区TOP期刊Composites Science and Technology上。
辐射防护三要素包含时间防护、距离防护和屏蔽防护三种基本措施。在条件受限情况下,辐射工作人员必须长时间在辐射场环境工作,因此辐射屏蔽材料成为最重要的一道核安全屏障。核反应产生的高能中子和伽马射线穿透性强,会对人体造成组织损伤、生殖损伤和基因损伤,因此,如何屏蔽中子和伽马射线成为核辐射防护的研究重点。传统的铅硼聚乙烯复合材料被广泛应用于中子伽马混合屏蔽场合,但铅作为一种重金属元素具有高生物毒性,对人和环境有害。稀土元素钐(Sm)同时具有高热中子吸收截面与高原子序数,是一种理想的中子伽马双功能吸收剂。然而目前针对稀土元素相关的辐射屏蔽材料研究缺乏深入的材料微结构与复合材料性能之间关联机制的研究报道。因此,合成具有特定微观形貌和高比表面积的稀土填料用于中子伽马复合屏蔽材料的研发十分必要。
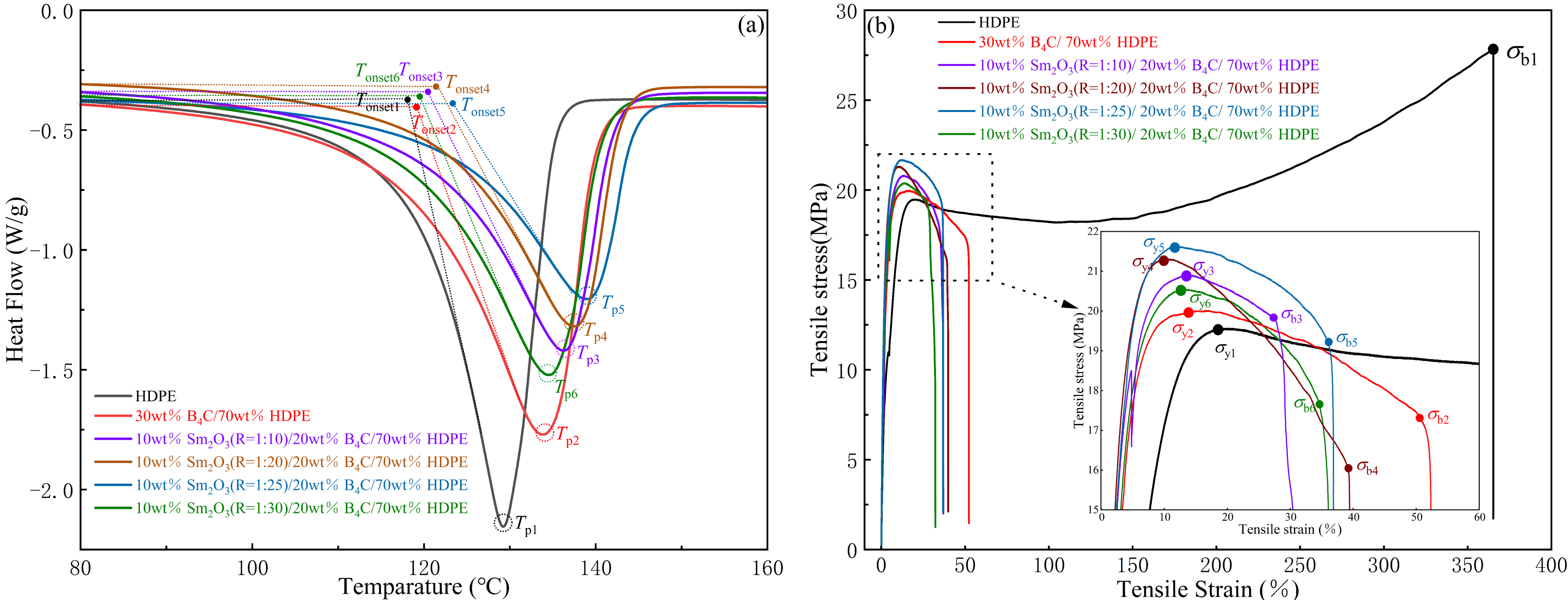
本研究采用均相共沉淀法合成了一系列具有不同比表面积和粒径分布的微米板Sm2O3填料,XRD测试确定了合成Sm2O3填料的物相为立方晶系、体心立方晶格,空间群为Ia3(206),晶体学计算结果表明填料的晶粒尺寸随反应物硝酸钐和尿素的摩尔比(R值)的减小而减小,而填料颗粒的比表面积随R值减小而增大。合成Sm2O3填料的N2吸附/脱附等温线符合国际纯粹与应用化学联合会(IUPAC)分类的IV型,回滞环为H3型,与SEM图像印证进一步确定其微观形貌为层状堆叠带狭缝状孔隙的板状结构,其BET比表面积可达9.12m2/g。研究发现通过改变R值可以调控Sm2O3晶粒生长过程中奥斯特瓦尔德熟化和取向连接生长机制之间的竞争平衡,获得尺寸均一、高比表面积的微米板Sm2O3填料。晶粒沿不同晶面的生长存在各向异性,晶粒沿不同晶面生长的优先级排序为( 622 ) > ( 440 ) > ( 400 ) > ( 222 ),晶粒沿优势晶面取向生长形成一维纳米微晶,随后相邻纳米微晶通过直接键合和结晶进一步组装形成二维类板结构,二维类板结构遵循奥斯特瓦尔德熟化机制继续生长,最终形成尺寸2-3 微米的三维微米板结构。随后制备了一系列不同比表面积微米板Sm2O3增强含硼聚乙烯复合材料,并研究了Sm2O3填料的微结构对于复合材料热稳定性、力学与辐射屏蔽性能的影响。
结果表明,尺寸均一、高比表面积的微米板Sm2O3填料可以在基体分子链中产生更多的限制位点以提高复合材料的热稳定性和力学性能,且在复合材料基体中具有更佳的分散性,其与中子和伽马光子发生相互作用的机率更大,有利于提高复合材料的辐射屏蔽性能。辐射屏蔽测试表明厚度为15cm的优选复合材料对252Cf中子源辐照屏蔽率达98.7%,对137Cs伽马源辐照屏蔽率达72.1%,优于不含微米板Sm2O3填料的对照组材料。该工作从材料学的角度为辐射防护技术的进步提供了新思路。
该研究得到了安徽省生态环境科研项目、安徽省高校协同创新项目、聚变堆主机关键系统综合研究设施和合肥综合性国家科学中心能源研究院(安徽省能源实验室)等项目的资助。
论文链接:https://doi.org/10.1016/j.compscitech.2024.110567

图1 微米板Sm2O3(a)填料和微米板Sm2O3增强含硼聚乙烯复合材料(b-c)的断面SEM

图2 微米板Sm2O3增强含硼聚乙烯复合材料的DSC(a)和应力应变曲线(b)

图3 微米板Sm2O3增强含硼聚乙烯复合材料的中子(a)和伽马透射率(b)

图4 微米板Sm2O3增强含硼聚乙烯复合材料的中子伽马屏蔽机制示意图

