近日,中国科学院合肥物质院等离子体所与合肥工业大学电气与自动化工程学院合作,在14.1 MeV高能聚变中子辐照下大功率晶闸管材料、电特性损伤研究方面取得新进展。研究团队构建了高能聚变中子的特性参量与大功率晶闸管晶格缺陷特性、电性能损伤及单粒子烧毁间的量化构效关系,揭示大功率晶闸管在高能中子辐照下的损伤机理。相关成果发表于核科学与技术领域顶级期刊Nuclear Science and Techniques。
大功率晶闸管是托卡马克装置超导磁体的关键保护部件,其受聚变中子辐照损伤所导致的可靠性退化问题是威胁磁体安全的一大因素。因此,掌握大功率晶闸管在聚变中子辐照下的物理-材料-电学特性损伤规律及特征,探索损伤机理对于探索科学高效的大功率晶闸管中子辐照损伤评估和应对策略,提升聚变超导磁体安全性具有重要意义。
研究团队从聚变中子特征特性出发,研究了微观下大功率晶闸管晶格缺陷的发生发展过程;基于大功率晶闸管工作机制,分析了其通态、阻态、反向恢复态特性受聚变中子辐照的影响规律;利用材料级、器件级、系统级数值模拟技术和高等效辐照实验,多维度揭示了大功率晶闸管聚变中子损伤机理,并进一步预估了聚变中子辐照对基于大功率晶闸管的失超保护系统运行可靠性影响,为聚变超导磁体失超安全防护设计提供了重要的理论依据。
该论文的第一作者为合肥工业大学电气与自动化工程学院仝玮博士(讲师),通讯作者为中国科学院合肥物质院等离子体所的李华副研究员和徐猛博士。
相关研究得到了国家重点研发计划项目、国家“十三五”重大科技基础设施、中央高校基本业务费项目及ITER组织的支持。
论文链接:
https://doi.org/10.1007/s41365-024-01433-1

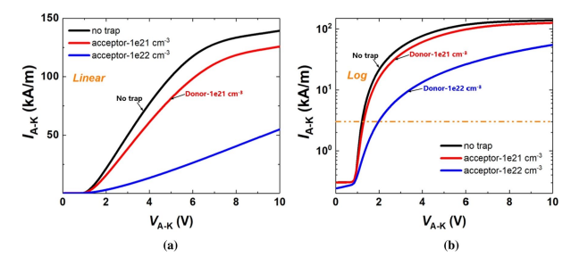
图1 不同辐照缺陷下大功率晶闸管阻断电压与电流密度变化曲线
(a)线性关系 (b)对数关系

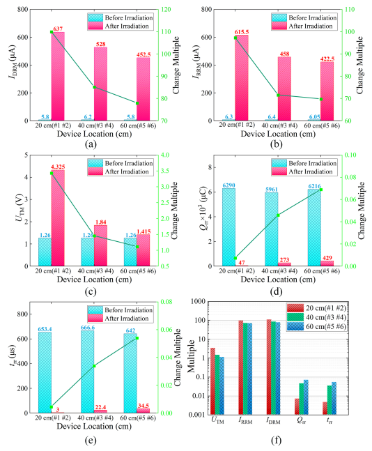
图2 14.1 MeV中子辐照前后大功率晶闸管通态、阻态、反向恢复态性能参数对比
