天气预报: 合肥研究院主页English旧版主页联系我们
科学岛新闻网
强磁场中心超导纳米线研究取得新进展
文章来源: 宁伟 发布时间: 2015-01-19
  强磁场科学中心田明亮研究员课题组和张昌锦研究员课题组合作在单晶超导纳米线的超导体-绝缘体转变研究中取得重要进展,相关研究结果在线发表在美国化学学会《Nano Letters》上。
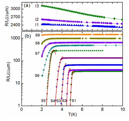
  长期以来准一维超导体的超导—绝缘体转变(SIT)研究一直吸引着很多关注,但是对控制SIT这种转变的机理 还存在争论。因为在过去的研究中,国际上大多采用热蒸发的方法制备纳米条带技术,基本上是研究单元素或二元合金超导体材料,不同形貌的纳米线(颗粒状、多晶、非晶等)呈现出截然不同的SIT转变过程。因此利用单晶超导纳米线开展本征的SIT研究对澄清这个问题很有帮助,但制备截面积可控的单晶超导纳米线非常困难,国际上一直没有大的进展。最近田明亮研究员课题组实验发现:其SIT是由纳米线截面积来控制而不是目前普遍认为的正常态电阻达到一个普适量子电阻来控制。
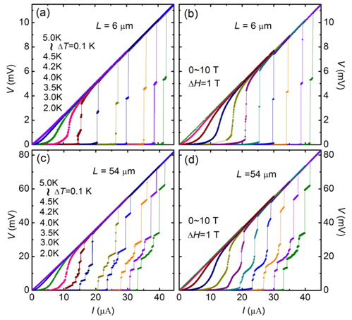
  Nb2PdS5是近期发现的一种新型准一维超导体,其晶体由准一维金属链堆垛而成,超导转变温度在7.5 K,是研究准一维超导电子结构的理想体系(Yu et al., JACS 135, 12987 (2013) )。研究发现,即使直径较粗的纳米线(~300nm)也表现出一维输运特征,例如I-V曲线上出现与长度有关的台阶等。而随着纳米线逐渐从300nm减小到100nm,纳米线超导电性逐渐变弱并最终变为绝缘体。有趣的是出现SIT时的纳米线直径远远大于理论期待的超导相干长度(~5.4 nm),且转变前的正常态电阻也小于理论期待的量子电阻。而在磁场驱动时,超导纳米线也表现出类似的SIT转变。这些纳米线的超导转变过程没有表现出量子相移(QPS)隧穿行为,而是能够被热激活的相移理论(TAPS)来描述。这些结果表明在准一维系统中,由于尺寸收缩而提高的库伦相互作用与金属链间的约瑟夫森相互作用之间的竞争在SIT中起着非常重要的作用。相关的结果为深入理解超导纳米线相变过程及其实际应用中开发超导电子器件提供了重要的信息。
  该项研究获得科技部973项目、基金委国家自然科学基金项目的支持。
   
  (a) Nb2PdS5晶体结构图;(b) Nb2PdS5单晶纳米线的SEM图像;(c) Nb2PdS5单晶纳米线TEM图像。(c) Nb2PdS5单晶纳米线高分辨率TEM图像及衍射斑点。
  
  单根Nb2PdS5纳米线上不同长度的导电通道V-I曲线随温度和磁场的变化。
  
  不同截面积的Nb2PdS5纳米线电阻随温度的变化曲线,随着而随着纳米线截面积减小,纳米线超导电性逐渐变弱并最终变为绝缘体。

 

  

   
  • 科学岛报
  • 科学岛报
  • 科学岛报