最近,强磁场中心田明亮研究员课题组与曹钢教授合作,首次将Sr4Ru3O10单晶的厚度通过机械解离的办法推进到纳米尺度,并通过输运测量研究了其变磁转变行为。发现Sr4Ru3O10中的变磁转变温度严重受到厚度的调制,但是其铁磁转变,正常霍尔效应以及反常霍尔效应却与厚度的变化无关。
含有4d电子态的钙钛矿钌氧化物Srn+1RunO3n+1 (n=1, 2, 3,∞)关联电子体系中存在多种自由度,包括电荷、自旋、晶格和轨道间的复杂相互作用,蕴含着丰富的物理现象,如自旋三重态配对(p波)的超导电性、非朗道费米液体行为、磁场诱导的变磁量子临界以及自旋密度波等。
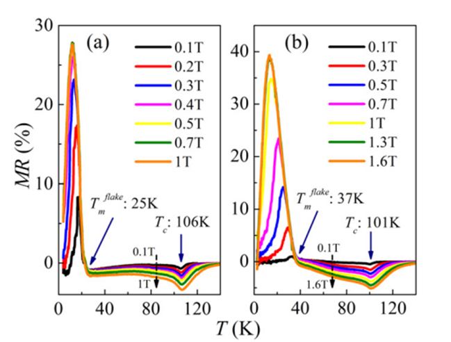
Sr4Ru3O10是Srn+1RunO3n+1体系代表性材料之一,最早由美国Kentucky大学的曹钢教授于1997年合成。该材料最有意思的就是其磁特性:当外加磁场沿c轴时,其在105K以下表现为铁磁性,而当磁场沿着ab面时,其在50K以下存在变磁转变。虽然Sr4Ru3O10已经被研究了很多年,但其磁性到目前仍不清楚。
该工作结果表明变磁转变温度的降低不能被归结于电子结构或者晶格结构的变化,而可以被理解为尺寸效应引起的Ru磁矩的重排布。说明以前认为的电子结构或者晶格结构是引起Sr4Ru3O10发生变磁转变的观点是不全面的。
另外,在对Sr4Ru3O10反常霍尔效应的标度分析中还发现,其反常霍尔效应包含三个不同的区域,分别对应φ=1,0和1.6。这三个区域都是理论上通过考虑不同自旋散射机制所预期的,但是很少能在同一个样品中同时被观测到。该发现反映出Sr4Ru3O10中具有不同寻常的自旋散射机制。
相关结果近期以Size effect on the magnetic phase in Sr4Ru3O10为题发表在New J. Phys. 18, 053019 (2016)上(http://iopscience.iop.org/1367-2630/18/5/053019)。
该项研究得到了国家自然科学基金以及中科院国际创新团队等项目的支持。

不同厚度的Sr4Ru3O10纳米薄片在不同磁场下的磁阻温度变化曲线.可见其铁磁转变温度Tc基本保持不变,而其变磁转变温度Tmflake却严重的受到厚度的调制。
不同厚度样品的反常霍尔效应标度关系