天气预报: 合肥研究院主页English旧版主页联系我们
科学岛新闻网
固体所在金属负膨胀材料研究方面取得新进展
文章来源: 郭新格 发布时间: 2017-05-23

  近期,固体所童鹏研究员课题组在金属负热膨胀(Negative thermal expansion, NTE)材料研究方面取得了系列进展,相关研究结果发表在Comp. Sci. Tech.Scripta Mater.Appl. Phys. Lett.等国际期刊上,申请中国发明专利两项 

  航空航天、微电子、精密仪器、光学器件和低温工程等领域对构件尺寸的热稳定性有着苛刻的要求。然而大多数材料在温度变化时会表现出“热胀冷缩”。温度变化时,不同构件的非协调热膨胀会导致系统功能性变差甚至失效,最终导致构件丧失原本设计的精度。而如何有效控制材料的热膨胀系数是解决上述问题的关键。 

  具有“热缩冷胀”特性的负热膨胀材料可以补偿一般材料的正膨胀(positivethermal expansion, PTE)调控材料的膨胀系数,甚至实现近零膨胀(zero thermal expansion,ZTE),在上述诸多领域中材料膨胀系数的调控方面有着巨大的潜在应用价值。与陶瓷类型NTE材料相比,金属NTE材料具有良好的可加工性、导热性能(抗热冲击能力强)和力学性能,具有更广阔的应用前景。童鹏研究员课题组近年来一直致力于新型金属NTE材料探索及相关近零膨胀复合材料研究。 

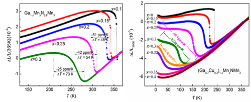
  反钙钛矿结构化合物ANMn3A=AgGaZn等)在反铁磁-顺磁相变时产生晶格体积的陡然收缩,即磁容积效应(Magnetovolume effect, MVE)。前人的研究表明,利用GeSn等非磁性元素部分地替代A位,可将MVE的温度窗口展宽,获得负膨胀。然而该方法在展宽NTE温区的同时也使之向高温移动,难以有效地调控NTE温度窗口,特别是无法获得面向低温领域的NTE材料。该课题组林建超博士、博士生郭新格等从ANMn3中反铁磁序的阻挫特性出发,选择具有不同MVE温度的母体化合物,利用Mn元素部分地替代A位元素,引入与反铁磁相竞争的铁磁序,扰动并且延缓反铁磁序的有序化进程,展宽了MVE温度窗口,获得了多个面向不同温区的NTE新材料。该研究对于精确调控反钙钛矿结构NTE材料的工作温区、探索基于磁容积效应的新型NTE材料具有指导意义。相关研究结果发表于Scripta Mater. 128, 74-77 (2017)Appl. Phys. Lett. 106, 082405 (2015)Appl. Phys. Lett. 107, 202406 (2015) 

  从制备NTE/PTE复合材料的实际来看,NTE材料的颗粒细化有利于混合均匀,提高复合材料结构和性能的稳定性。林建超博士研究发现减小MVE化合物(如GaNMn3MnCoGe)的颗粒尺寸可以有效地展宽其MVE温窗,获得了宽温区、大NTE系数粉体材料。例如,平均颗粒大小约为3.5µm1 µmGaNMn3粉体在室温附近53K103K)温度窗口内,各向同性的线膨胀系数达-76ppm/K-30ppm/K)。进一步研究表明MVE温窗的展宽可归因于颗粒细化过程中引入的微观晶格应变和原子无序。该研究为调控PTE材料的热膨胀行为提供了材料基础,为探索粉体NTE材料提供了参考依据。相关研究结果发表于Appl. Phys. Lett. 109, 241903 (2016)Appl. Phys. Lett. 107, 131902 (2015) 

  最近,该课题组林建超博士以前期研制的细颗粒GaNMn3粉体为填充剂,制备出均匀性好、孔隙率低的GaNMn3/环氧树脂复合材料。此类复合材料的膨胀系数可调,介电性能和热导率较环氧树脂有显著提升。作为一种热固性材料,环氧树脂具有较低的固化温度且易于加工成型,被广泛应用于电子、航天、汽车以及休闲等领域。然而环氧树脂具有大的热膨胀系数(室温下αL=40-80 ppm/K),远大于常见金属和陶瓷材料(αL通常小于20 ppm/K)。此外,环氧树脂导热性能差、抗热震能力弱。这些热学特性严重地制约了环氧树脂的实际应用。GaNMn3/环氧树脂复合材料较纯环氧树脂具有更广阔的应用空间,特别是在下一代的嵌入式电容器领域有着重要应用前景。相关研究结果发表于复合材料领域著名刊物Comp. Sci. Tech. 146, 177-182 (2017) 

  以上研究得到了国家自然科学基金项目和中科院前沿重点研究计划项目资助。 

 

  1Mn掺杂对反钙钛矿结构GaNMn3基化合物磁容积效应温度窗口的展宽和移动。 

 

  2GaNMn3a)和MnCoGeb)微米颗粒中颗粒大小对负膨胀的调控。 

 

  3GaNMn3/环氧树脂复合材料的热膨胀、热循环性和热导率及其与纯环氧树脂的对比。 

  【相关文章链接地址】 

  (1)http://www.sciencedirect.com/science/article/pii/S0266353817300696 

  (2)http://www.sciencedirect.com/science/article/pii/S1359646216304729 

  (3) http://aip.scitation.org/doi/abs/10.1063/1.4972234 

  (4) http://aip.scitation.org/doi/abs/10.1063/1.4936239 

  (5) http://aip.scitation.org/doi/abs/10.1063/1.4913663 

  (6) http://aip.scitation.org/doi/abs/10.1063/1.4932067 

   
  • 科学岛报
  • 科学岛报
  • 科学岛报