天气预报: 合肥研究院主页English旧版主页联系我们
科学岛新闻网
固体所在低维超导材料理论研究方面取得系列进展
文章来源: 肖瑞春 发布时间: 2017-06-12

  近期,固体所功能材料研究室在类石墨烯结构的低维超导材料研究方面取得系列进展,相关研究结果发表在Physical Review BJournal of Materials Chemistry CApplied Physics Letter等国际期刊上。 

  与石墨烯类似具有低维结构特征的材料往往具有特殊的光电子性能,其在低维纳米电子学器件中有潜在的应用前景。近年来一些新型低维材料如硼烯、磷烯、过渡金属二硫族化合物(化学通式MX2)等被实验制备出来,但其中复杂的物理现象诸如电荷密度波与超导的关联,高压、载流子掺杂等对超导电性的调控机理等方面还不完全清楚。固体所功能材料研究室的研究人员近年来通过理论计算与实验相结合,在高压、载流子等调控硼烯、磷烯和MX2材料的超导研究方面取得了系列研究进展。 

  研究人员通过第一性原理计算研究了1T-TiTe2在高压下的超导性质。研究结果表明,静水压不利于1T-TiTe2的超导,而单轴压(沿c方向)有利于超导的出现。超导转变温度从常压下的0.73 K增加到单轴压17 GPa下的6.34 K。此外,1T-TiTe2在高压下可以出现拓扑相转变。高压下的超导和拓扑特性使得1T-TiTe2成为拓扑超导材料的候选。相关工作发表在Journal of Materials Chemistry C 5, 4167 (2017) 

  采用载流子掺杂模型理论计算模拟了光场和电场对1T-TaS2的电荷密度波(CDW)影响。研究发现,电子掺杂会导致CDW更加稳定,而空穴掺杂显著抑制CDW的稳定性。研究人员还预言了一定浓度的空穴掺杂可以诱导出6-7 K的超导电性。在1T-TaS2中可以实现CDW绝缘体态、金属态、超导态之间的开关效应,在未来的电子学器件中可能有很大的应用前景。相关工作发表在Physical Review B 94, 125126 (2016) 

  进一步对1T-TaSe2进行了Te元素掺杂的理论和实验研究。研究结果表明,掺杂导致的Se/Te无序分布抑制了1T-TaSe2中的CDW,同时在CDW消失区域附近发现一个dome(钟罩)型的超导转变相。理论计算得到的强电声耦合导致的晶格畸变引起CDW的出现,可以很好地解释实验现象。我们的计算结果可以帮助理解MX2材料中CDW和超导的关联性。相关工作发表在Physical Review B 94, 045131 (2016) 

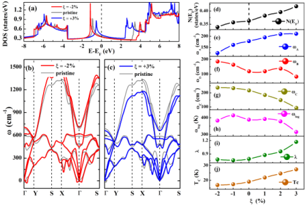
  硼烯是最近被实验成功制备的具有金属基态的单原子层材料。课题组通过理论计算预言了硼烯具有超导的可能性,并且应力和载流子掺杂可以调控硼烯的超导电性。拉伸应力可以把超导转变温度从19.0 K提高到27.4 K,而空穴掺杂可以提高到34.8 K。相关工作发表在Applied Physics Letter 109, 122604 (2016) 

  磷烯是具有单层结构的黑磷,具有比石墨烯更好的半导体性能。课题组理论预言了磷烯具有优异的热电性能,并且施加应力可以通过能带汇聚效应进一步增强其热电性能。他们还通过理论计算,指出通过电子掺杂在磷烯中可诱导出超导电性。这将大大拓展磷烯的应用范围。相关工作发表在Physical Review B 90, 085433 (2014)Europhysics Letters 108 67004 (2014) 

  此外,研究人员还从理论上提出通过应力可以有效调控单层1T-CrSe2/CrTe2的反铁磁-铁磁相转变,特别是拉伸应力能够增强材料的铁磁居里温度高于室温。相关工作发表在Physical Review B 92, 214419 (2015) 

  上述工作是由孙玉平研究员和鲁文建研究员课题组的邵定夫、吕红艳、肖瑞春和刘育博士等完成。部分研究工作是与中科院强磁场中心和中科院物理所共同合作完成。研究工作得到了国家重点研发计划项目和国家自然科学基金项目的资助。 

    文章链接地址: 

  1. http://pubs.rsc.org/en/Content/ArticleLanding/2017/TC/C7TC00209B 

  2. https://journals.aps.org/prb/abstract/10.1103/PhysRevB.94.125126 

  3. https://journals.aps.org/prb/abstract/10.1103/PhysRevB.94.045131 

  4. http://aip.scitation.org/doi/full/10.1063/1.4963179 

  5. https://journals.aps.org/prb/abstract/10.1103/PhysRevB.90.085433 

  6. http://iopscience.iop.org/article/10.1209/0295-5075/108/67004/meta 

  7. https://journals.aps.org/prb/abstract/10.1103/PhysRevB.92.214419     

 

   11T-TiTe2在单轴压下的平均声子振动频率(ωlog)、电声耦合强度和超导转变温度的变化情况(左)以及单轴压力对材料性质影响的示意图(右) 

    

 

   21T-TaSe2的声子谱(左上)以及对应的声子线宽(右上),1T-TaS2(左下)和1T-TaSe2(右下)调控示意图 

                 

图 3、应力下硼烯的态密度、声子谱、ωlog、电声耦合强度和超导转变温度等的变化图 

            

4、磷烯在电荷掺杂下的声子谱(左)和应力下的ωlog、电声耦合强度和超导转变温度等的变化情况(右) 

   
  • 科学岛报
  • 科学岛报
  • 科学岛报