近期,固体所功能材料研究室童鹏研究员课题组在金属负热膨胀(Negative thermal expansion, NTE)材料研究方面取得了新进展。研究人员通过调控Laves相合金Hf1-xTaxFe2的化学组成,获得了兼具优异热学、力学性能和室温下宽温区、大NTE系数的新材料。相关研究成果以全文形式发表于Acta Materialia (Acta Mater., 161, 258-265 (2018)),并申请发明专利一项(申请号:201810920668.6)。
精密光学仪器、航空航天、低温工程、微电子器件等领域的快速发展对材料的尺寸热稳定性提出了苛刻的要求。然而,由于内禀的原子非简谐振动,大多数固体材料呈现出“热胀冷缩”现象,导致材料尺寸随环境温度变化而变化,严重影响了仪器设计精度和功能;长期往复温度循环还会导致微观应力集中,缩短材料与器件的使用寿命。NTE材料则呈现出“热缩冷胀”现象,为调控材料膨胀系数、提高材料尺寸热稳定性提供了契机。将NTE材料与通常的正热膨胀(positive thermal expansion, PTE)材料进行复合,可有效抑制PTE材料的热膨胀甚至实现零膨胀。但就实际应用而言,负膨胀材料除了需拥有优异的NTE性能外,还需要兼具良好的热导率和力学性能。目前已有的NTE材料体系难以同时兼顾上述性能。
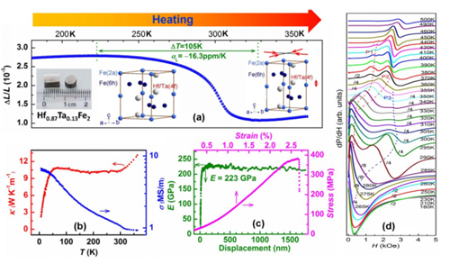
Laves相合金Hf1-xTaxFe2在x ~ 0.16 – 0.22组分范围内具有陡峭的铁磁-反铁磁态转变,并伴随着剧烈的晶格体积收缩(体积收缩率达ΔV/V ~ 1%)。由于上述磁-晶格耦合效应,该类材料呈现出丰富磁热、磁致伸缩、磁电阻现象,引起了科研人员的极大关注。然而,该相变温区仅有几个K,无法作为NTE材料而获得实际应用。最近该课题组通过减小Ta的含量,成功地将Hf1-xTaxFe2陡变的体积收缩展宽为连续的体积变化,并且将其移动至室温附近,从而获得了室温下宽温区、大NTE系数新材料。例如,x= 0.13时,Hf0.87Ta0.13Fe2在宽达105 K(222 K - 327 K)的温区内表现出NTE现象,其线性NTE系数αL = -16.3 ppm/K(图1a)。该NTE性能与文献报道的反钙钛矿结构锰氮化物、La-Fe-Si等金属NTE材料相当。与展宽的NTE相对应的不再是铁磁-反铁磁转变,而是铁磁-顺磁相变。电子顺磁共振谱研究表明,NTE温区展宽与2a和6h位置的Fe原子磁矩在铁磁-顺磁转变处的非同步效应密切相关(图1d)。
相比现有的金属NTE材料,Hf1-xTaxFe2具有更为优异的电导、热导性能(图1b)。不仅如此,最优NTE组分Hf0.87Ta0.13Fe2的压缩强度接近400 MPa,杨氏模量高达223GPa(图1c),维氏硬度(882 HV)更是数倍于已知NTE材料体系对应值。优良的热学、力学性能使得Hf1-xTaxFe2在调控PTE材料的膨胀系数同时,也可以提高基体的抗热震能力和机械性能,使其在精密光学仪器、航空航天等方面具有广泛的应用前景。
该工作得到中国科学院前沿科学重点研究项目和国家自然科学基金的资助。
全文链接:https://www.sciencedirect.com/science/article/pii/S1359645418307419

图1. Hf0.87Ta0.13Fe2的线膨胀曲线(a)、热导率和电导率随温度变化关系(b)、压缩强度、杨氏模量(c)以及电子顺磁共振谱(d)。