天气预报: 合肥研究院主页English旧版主页联系我们
科学岛新闻网
郑小宏课题组在二维SnO2材料的理论预测研究方面取得新进展
文章来源: 姜朋 发布时间: 2020-11-11

  近日,中科院合肥研究院固体所计算物理与量子材料研究部郑小宏研究员课题组在二维二氧化锡(SnO2)材料研究中取得新的进展。研究人员基于第一性原理计算方法理论预测了SnO2的二维单层δ相(P-4m2可以稳定存在,并且发现δ的二维SnO2材料具有平面内负泊松比特性。此外,通过空穴载流子掺杂可以诱导体系从非磁态向铁磁序转变,同时也能够实现完全自旋极化的半金属性。相关结果以“Computational Prediction of a Two-dimensional Semiconductor SnO2 with Negative Poisson's Ratio and Tunable Magnetism by Doping”为题发表在 Physical Review B上。 

  SnO2块体是一种n型宽带隙的半导体材料,常见的结构为金红石结构。由于具有很好的化学稳定性、高透光率、低电阻率以及耐酸碱等特点,SnO2在电极材料、化学传感器元件及太阳能电池等方面具有巨大的应用前景。研究表明,通过在SnO2块体中掺入3d过渡金属杂质能够实现室温铁磁性体系引入氧空位时,可以薄膜样品中观察到铁磁,而在块体样品中观察不到。尽管SnO2块体材料在实验和理论上已经被广泛研究,但其对应的二维单层相的相关研究依然很少。而进一步探究SnO2二维相是否存在及其掺杂诱导室温铁磁性的可能性无论对二维半导体领域还是对自旋电子学领域都具有重要的意义。 

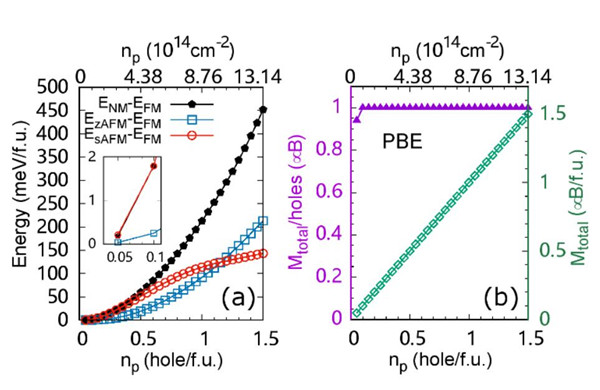
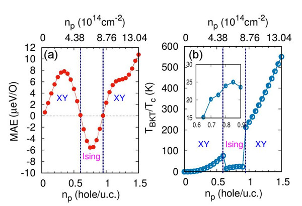
  此,研究人员基于密度泛函理论计算发现了δ的二维SnO2δ- SnO2能稳定存在,且是一种具有平面内负泊松比(ν=-0.11)性质的单层材料,而负泊松比的形成主要是由于晶格结构对称性与SnO4四面体在低维效应限制下的协同作用造成的。此外,结果表明,该单层SnO2是一种带隙为3.7 eV的间接带隙半导体,电子迁移率可高达103 cm2V-1s-1。有趣的是,SnO2在费米能级附近的价带中呈现出双墨西哥帽状的能带特征。由于这个特征,科研人员可以通过空穴载流子掺杂方式来诱导体系发生铁磁相变,并且它在很宽的掺杂浓度范围内能够表现半金属性。这种磁性相变用Stoner机制可以很好地解释。此外,通过改变空穴载流子掺杂浓度还可以实现二维XY磁体和Ising磁体二者之间的转变,并且在适当的掺杂浓度下,其铁磁转变温度可高于室温。这些研究结果表明,所预测的SnO2相是罕见的p型磁性体系的又一个重要例子,同时也说明了所预测的SnO2二维相在纳米力学和低维自旋电子学方面具有潜在的应用前景。 

  本研究工作得到国家自然科学基金和国家留学基金委的资助,相关计算在中科院超算中心合肥分中心完成。 

  文章链接: https://journals.aps.org/prb/abstract/10.1103/PhysRevB.102.195408  

 

  1.a)二维单层δ-SnO2的晶体结构俯视图和侧视图bx方向上的应变施加在体系y方向上的拉伸应变的变化关系 

 

2.a不同磁构型(非磁、锯齿形反铁磁以及条纹反铁磁)与铁磁构型的磁能量差随空穴载流子掺杂浓度变化的曲线关系;(b)体系的磁矩与空穴载流子掺杂浓度的变化关系。 

  3.a空穴掺杂的二维δ-SnO2体系的磁各向异性能和(b)铁磁转变温度与空穴载流子掺杂浓度的变化关系。 

   
  • 科学岛报
  • 科学岛报
  • 科学岛报