近日,中科院强磁场科学中心张警蕾副研究员、北京大学贾爽研究员、南方科技大学卢海舟教授等人组成的研究团队利用稳态强磁场装置揭示了外尔半金属TaAs的不饱和量子磁性。相关成果以“Non-saturating quantum magnetization in Weyl semimetal TaAs”为题,在线发表于《自然·通讯》(Nature Communications)。
在拓扑材料中,电子具有类似光子的线性色散关系,是一种无质量的相对论粒子。磁场是研究拓扑材料物性的重要调控手段。当外加磁场足够强时,电子最终都会落在最低的朗道能级上,材料此时进入量子极限态。在这种情况下,相对论粒子往往会导致宏观输运性质表现出一些现象。目前,对这些特性的表征主要依赖于电输运性质的测量。
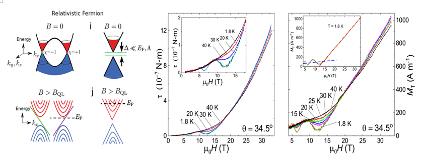
磁性反映了电子的热力学行为,目前在量子极限之上对这些相对论粒子体系磁性的实验研究相对较少。依托于稳态强磁场装置水冷磁体,张警蕾副研究员等人利用悬臂式磁扭矩测试设备,对外尔半金属TaAs强磁场下的磁性质进行了深入研究。实验研究结果显示,进入量子极限以后,TaAs的有效横向磁化强度和平行磁化强度均随着磁场呈线性增长。进一步的理论计算结果显示,非相对论粒子体系的磁化强度会在量子极限之上达到饱和;而相对论粒子体系的磁化强度则会出现不饱和的增长。因此TaAs 在强磁场下表现出的这种非饱和的磁化强度正是相对论性粒子在量子极限之上热力学性质的独有特性。
值得指出的是,由于各种拓扑电子材料的能带对于包括自旋轨道耦合以及化学势在内的各种参数高度敏感,决定电子拓扑性质的能量尺度可能小至毫电子伏量级,因此通常的谱学测量往往无法分辨能带的细节。而普通的电输运测量只能表征费米面的贝里曲率,无法区分相对论的电子能带是否存在能隙。这一研究提出了一种更为直接的实验依据来探测这种相对论粒子。
该工作强磁场实验部分得到了中国科学院青年促进会,中国科学院科研仪器设备研制项目,合肥物质科学技术中心创新项目培育基金等项目的大力支持。
文章链接:https://www.nature.com/articles/s41467-019-09012-4。

图:左:外尔半金属能带示意图。右:TaAs磁扭矩、正交磁化率随磁场的变化。