近期,中科院合肥研究院固体所功能材料物理与器件研究部罗轩等与浙江大学尹艺、中科院合肥研究院强磁场科学中心郝宁、孙玉平、北京应用物理与计算数学研究所张平、德国汉堡大学理论物理所A. L. Lichtenstein、俄罗斯乌拉尔联邦大学M. I. Katsnelson等合作,在结线型拓扑半金属ZrSiSe中Lisfshitz相变的物理机理及激子不稳定性研究方面取得进展,相关结果以“Temperature-induced Lifshitz transition and possible excitonic instability in ZrSiSe”为题发表在《物理评论快报》(Phys. Rev. Lett. 124,236601 (2020))上,博士生陈昉初、费莹、李淑静为文章的共同第一作者,罗轩、尹艺、郝宁和孙玉平为文章的共同通讯作者。
凝聚态物理中在Landau相变范畴外,存在一种描述费米面拓扑变化的相变-Lifshitz相变。Lifshitz相变通常由非温度的调控因子,比如压力、磁场、掺杂等实现费米面拓扑结构突变。最近,在狄拉克半金属报导了一种新型温度驱动的Lifshitz相变,其中相变通常发生在费米能穿过能带交叉节点 (nodal point)。由于在这些节点附近,载流子具有高迁移率,当费米能穿过节点时,该体系可以从n(p)型切换到p(n)型,因此Lifshitz相变通常与拓扑半金属异常输运行为密切相关。
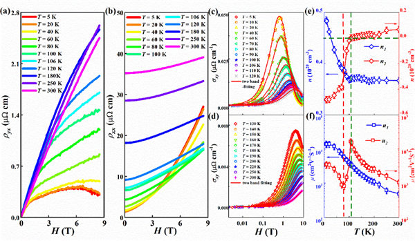
研究人员通过生长高质量ZrSiSe晶体,结合低温、磁场下电输运、扫描隧道谱测量和第一性原理计算,发现在ZrSiSe中温度可以诱导Lifshitz相变发生。通过双带模型分析霍尔电导,研究表明ZrSiSe在高于临界温度T = 106 K时载流子为空穴,而当温度降至106 K以下,一部分电子型载流子突然出现,随着温度的进一步降低,低温下电子和空穴载流子接近于补偿 (图1e,f)。此外,微分电导谱分析结果也与输运结果相吻合(图2c,e) 。结合第一性原理计算,研究表明载流子浓度剧烈变化起源于温度降低费米能级移动导致新的电子型口袋的产生,从而证实温度驱动Lifshitz相变发生 (图3b)。此外,低温扫描隧道微分电导谱在费米能级附近观测到了“V型”态密度赝能隙结构 (图2a),理论计算表明该赝能隙结构起源于自旋轨道耦合和电子关联效应引起激子不稳定性的共同作用 (图4)。此工作全面揭示了ZrSiSe中温度驱动Lifshitz相变效应并发现了该体系中关联效应引起的激子不稳定态,拓展了节线半金属研究方向。
以上研究得到了国家重点研发项目,国家自然科学基金-大科学装置联合基金培育项目、重点项目,国家自然科学基金,中科院合肥大科学中心“高端用户”培育基金等项目资助。
文章链接:https://link.aps.org/doi/10.1103/PhysRevLett.124.236601

图1. (a, b) 不同温度下ZrSiSe电阻率和霍尔电阻率随磁场变化;(c, d) 不同温度下ZrSiSe霍尔电导率随磁场变化;(e, f) 基于双带模型拟合得到载流子浓度和迁移率随温度变化。
图2. (a) T=4.5 K和T=77 K dI/dV谱;(b, d) T=4.5 K和T=77 K 线扫描微分电导谱; (c, e) T=4.5 K和T=77 K 线扫描电子空穴比值。

图3. (a) ZrSiSe 晶体结构;(b) 第一性原理计算能带结构,蓝色,红色和绿色线标记三个不同的费米能级分别对应于图1 (e) T=5 K, 102 K和106 K;(c-e) 三维费米面,费米能分别由图3 (b)蓝色,红色和绿色线标记。
图4. (a, b) 理论模拟的狄拉克节线和平庸电子结构;(c, d) 理论模拟的低温和高温下的隧道谱;(e, f) 理论模拟自旋轨道耦合和激子序对隧道谱的影响。