重器巨帙, 融合开放。
董铺湖畔, 蜀山之侧, 以科学为名, 立创新高地。
博学之,审问之, 慎思之,明辨之, 笃行之。
与强者为伍, 与智者同行。 科学岛欢迎您!
海纳百川, 有容乃大。
组织是“形”,思想是“魂”。
传播科学知识, 弘扬科学精神。
及时公开, 准确公开, 合规公开。
11月9日上午,400米大气环境气象梯度观测塔项目——庐州塔正式启动建设。该项目位于合肥综合性国家科学中心未来大科学城。庐州塔由中国科学院与合肥综合性国家科学中心共同支持中国科学院合肥物质科学研究院建设,是一座集大气污染梯...
近期,中国科学院合肥物质院强磁场中心盛志高研究员、李柏霖副研究员与杨晓萍研究员合作,依托稳态强磁场实验装置(SHMFF)超导磁体SM1超快磁光系统, 在二维反铁磁材料AgCrP2S6中发现了镜面对称诱导的手性声子行为和声子模式依赖的巨...
11月2日下午,中国科学院合肥物质院智能所、中科合肥智能育种加速器创新研究院联合研制的全链条机器人育种家“小海” 在安徽合肥正式发布。作为面向育种全流程的自动化、智能化作业系统,“小海”标志着我国在智能育种高端装备与工程...
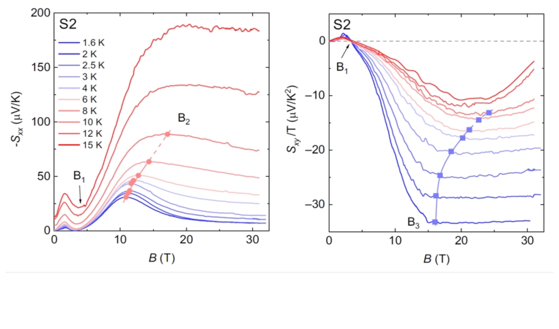
近日,中国科学院合肥物质院强磁场中心低功耗量子材料团队联合中国科学技术大学、南方科技大学团队,依托稳态强磁场实验装置所属水冷磁体WM5,利用强磁场在弱拓扑绝缘体中成功构建出理想一维外尔半金属相,并观测到由该相特有热电转换...
近期,中国科学院合肥物质院固体所潘旭研究员团队在反式钙钛矿太阳电池传输层优化方面取得重要进展,实现了太阳电池器件效率与稳定性的双重突破。相关成果以“Suppression of PCBM dimer formation in inverted perovskite solar cell...