FeGa合金由于具有驱动磁场低、磁致伸缩系数高、阻尼温域宽、微振动响应敏感、以及力学性能优良等特点,在制动器、传感器以及微振动抑制领域具有巨大的应用潜力。然而,FeGa合金的磁致伸缩和阻尼性能与Ga原子占位密切相关,如何鉴别和评估材料内部的Ga原子占位成为目前FeGa合金研究面临的关键难题。内耗技术对材料内部缺陷弛豫极为灵敏,因而,通过内耗技术有望解决评估Ga原子占位这一难题,并为FeGa合金磁致伸缩和阻尼性能提升提供指导。
鉴于此,研究团队在成功生长大尺寸FeGa单晶的基础上,制备了具有不同取向因子的FeGa二元单晶合金。通过对比研究FeGa多晶和单晶的内耗行为,确定了450 附近的弛豫峰属于晶粒内部的Zener弛豫行为而非晶界弛豫;通过测量和分析不同取向FeGa单晶的内耗数据,发现随着单晶取向因子的增加,Zener弛豫净峰高逐渐增加(图1)。
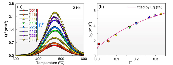
研究团队进一步对具有不同原子对构型BCC晶胞的弛豫强度进行系统分析,发现FeGa单晶的三方和正交构型偶极子的弛豫强度随取向因子的增加而降低,仅四方偶极子的弛豫强度随着取向因子的增加而增加。应变张量分析及拟合结果表明,BCC结构FeGa单晶Zener弛豫主要来自于第二近邻溶质原子对的贡献,第一近邻溶质原子对对Zener弛豫的贡献仅占次要位置。同时,对于Fe-17at.% Ga单晶,其弛豫激活能约为1.8 eV,远低于多晶材料中通过内耗测得的激活能(图2),且该值与示踪法测得激活能大小相当,表明该值更接近于实际Ga原子的扩散激活能。此外,结合电子结构以及应变分析,阐明了Zener弛豫强度与磁致伸缩系数的正相关关系(图3)。
该工作明确地揭示出体心立方结构FeGa单晶Zener弛豫来主要自于第二近邻溶质原子对,纠正了长期以来对BCC合金中Zener弛豫来自于第一近邻溶质原子对的认知,该结论同样适用于其他BCC固溶体合金。同时,该工作表明Zener实验可用于分析单组元或多组元合金中是否存在微区溶质短程有序、溶质原子的有序程度、以及溶质原子占位等。这些分析将有助于研究材料的微观结构和动力学信息,并探究弹性偶极子对材料力学和功能特性的影响。
上述研究工作得到了国家自然科学基金、安徽省自然科学基金、安徽省重点研发项目及松山湖大科学装置开放课题基金的资助。
图 3. FeGa 合金中磁致伸缩系数和 Zener 弛豫强度 的比较图。在有序和无序相区,磁致伸缩系数和 Zener 弛豫强度随 Ga 含量变化具有高度一致性。
