近日,中国科学院合肥物质院强磁场中心韩玉岩副研究员与安徽大学合作,依托稳态强磁场实验装置(SHMFF)的多功能物性测试系统,在EuMnSb2单晶的物性研究方面取得了新进展。这一成果已于2024年04月11日在国际著名学术出版社Elsevier发行的期刊Journal of Alloys and Compounds在线发表。
随着科技不断发展,磁性拓扑材料因其独特的物理特性在磁开关、磁存储器等器件中展现出巨大的应用潜力,合成新型磁性拓扑材料并研究其物理特性尤为重要。研究团队聚焦于三元锰酸盐(AMnPn2,A = Ca, Sr, Ba, Eu Yb, Pn = Sb, Bi)这一材料体系,特别是其中的EuMnSb2单晶。这一材料体系中的Sb(或Bi)原子含有准二维狄拉克费米子,而磁性原子的磁矩取向可以通过温度和磁场进行调控,从而改变材料的能带结构。这使三元锰酸盐可以作为研究磁性与拓扑相关性的理想材料。
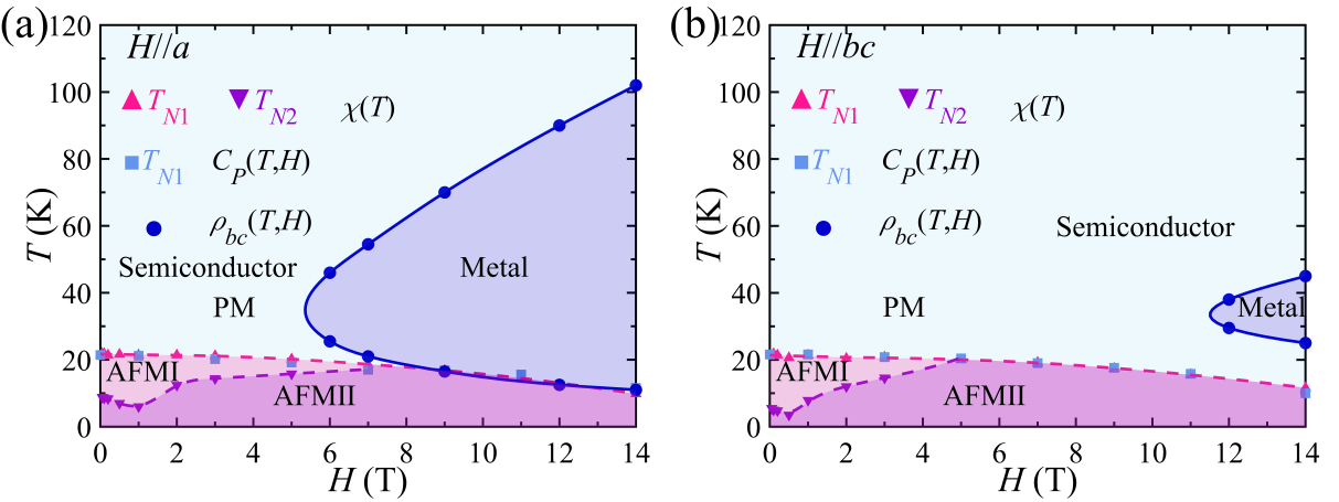
研究团队使用Sn作为助熔剂制备了EuMnSb2单晶,并系统性地研究了该材料的磁性、磁电阻、比热等物性。研究发现,该单晶具有半导体特性,并且在特定温度范围内出现两个磁性转变,分别对应“顺磁-反铁磁”转变及Eu磁矩的再取向。此外,施加磁场能够抑制上述转变。
在电输运测量中,研究团队观察到温度与磁场能够调变该材料的电阻特征。特别是在强磁场下,该材料表现出了各向异性磁电阻及巨大的负磁阻,这为其在电子器件中的应用提供了潜在的可能性。
基于这些实验结果,研究团队绘制了该材料的电子相图,将材料的物性划分为反铁磁半导体、顺磁半导体和顺磁金属,这些属性表明该单晶的磁序与能带结构以及物性之间存在关联性。温度及磁场调变了磁矩的取向,改变了该EuMnSb2单晶的磁熵及能带结构,从而引起了磁性、比热及电输运等物性的变化。
上述研究结果不仅能够深化人们对磁性拓扑材料中磁矩与物性之间关系的理解,也为新型磁性拓扑材料及电子器件的研发提供了实验基础。
安徽大学与强磁场中心联培的研究生殷沪鑫为论文第一作者,安徽大学刘先松教授、阚绪材副教授和强磁场中心韩玉岩副研究员为共同通讯作者。该工作得到了国家自然科学基金项目、强磁场中心理化公共技术中心、安徽大学、合肥大科学中心以及低功耗量子材料与器件安徽省重点实验室的支持。
文章链接:https://www.sciencedirect.com/science/article/pii/S092583882401065X

图1. 根据EuMnSb2单晶的磁化率,比热以及电阻率的测量结果绘制出的电子相图
