基于东方超环(EAST)装置的优势,等离子体所紧跟国际研究热点,发展了先进的二维成像弯晶谱仪和多时点快速往复式探针等诊断手段,开展了低杂波电流驱动下自发旋转的实验研究,重复测量了不同等离子体电流、电子密度、等离子位形以及低杂波功率下芯部和边界的旋转的时空分布,第一次在EAST上同时观察到低杂波电流驱动同时能引起芯部和边界的同电流方向的环向旋转。实验以及理论分析结果发表于近期的《物理评论快报》杂志。
托卡马克上等离子体旋转及其相应的动量输运在低约束模向高约束模转换、内部输运垒的形成以及抑制电阻壁模等磁流体动力学(MHD)不稳定性上起着重要作用。ITER以及未来的聚变堆由于装置尺寸大、密度高,中性束注入将难以驱动类似现有托卡马克装置上相同量级的旋转。近年来,随着射频波驱动等离子体旋转研究的深入,由射频波引起的自发旋转极有可能提供未来装置稳定运行所需的旋转,因此其实验研究成为目前国际上各大装置上研究热点之一。
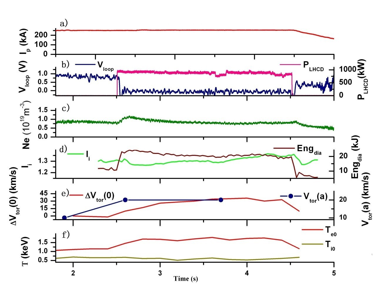
不同于其他装置上的结果,如美国Alcator C-Mod托卡马克装置的实验显示射频波加热时芯部旋转是反等离子体电流方向,而且只局限于等离子体芯部,最近EAST上的实验发现在低密度低约束模等离子体放电中,低杂波能驱动同电流方向的旋转;同时内感变化与旋转之间并无其他装置上所观察到的明显相关性;而低杂波引起的边界旋转变化(<100ms)远快于芯部的旋转变化(~1s),这可能意味着芯部旋转是由边界向芯部输运造成。基于湍流均分理论和热电压缩的模型很好地预测了芯部旋转的变化,其演化时间尺度和旋转变化与实验观察较为一致。这一实验结果为射频波驱动自发旋转的研究提供了新的实验数据,将促进对自发旋转及动量输运机制的理解。
该研究由等离子体所十三室先进光谱诊断组和六室边界物理组共同完成,得到了EAST诊断组、真空组、低杂波组和运行组等的大力支持,同时还获得了国家自然科学基金的资助。

EAST低杂波电流驱动实验中旋转测量结果
