近期,中国科学技术大学合肥微尺度国家实验室、强磁场中心双聘教授谢毅课题组以及强磁场中心的研究人员利用稳态强磁场实验装置电子自旋共振测试系统首次发现了一个非铁基的简单化合物,即超小半金属态的V3O4量子点,在16K时出现了量子隧道磁化现象。该研究结果近期发表于《自然》出版集团的新刊物《科学报告》(Scientific Reports)。
近年来,作为一种新的量子物态,量子隧道磁化因其丰富奇特的特性和在未来磁性存储以及磁性计算技术中的应用前景,受到世界关注,并成为凝聚态物理研究中的一个热点领域。然而,作为最有前途的观察和研究量子隧道磁化现象的物质,分子磁体和少量的铁基化合物出现量子隧道磁化的温度却一直都在非常低的温度;同时,由于结构复杂,这些材料作为理论模型研究量子隧道磁化现象很困难。
钒由于价态丰富,其氧化物种类较多,其中有些又表现出独特的电学和磁学性质。V3O4作为钒氧化合物中的一员,具有跟Fe3O4类似的反尖晶石结构,其中V2+离子占据四面体空隙,V3+以1:1的比例占据八面体和四面体空隙。由于钒离子中电子-自旋的作用使得V3O4也具有Fe3O4类似的半金属特性,而这种电子自旋状态的不同也提供了其磁性的来源。
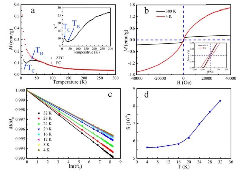
中国科学技术大学合肥微尺度国家实验室、强磁场中心双聘教授谢毅课题组以及强磁场中心的研究人员利用稳态强磁场实验装置电子自旋共振测试系统首次发现了一个非铁基的简单化合物,即超小半金属态的V3O4量子点,在16K时出现了量子隧道磁化现象。通过简单的溶剂热法,他们在油胺体系中首次合成出超小的V3O4纳米晶(<5nm),并通过磁性测量发现,其在室温时是超顺磁态,随着温度的降低,在32K时发生超顺磁-铁磁的转变;最有趣的是在温度进一步降低至16K时,超顺磁状态重新出现,这表明在16K时出现了量子隧道磁化,而该量子隧道磁化转变温度要远高于Fe3O4以及其它一些反尖晶石结构的铁基氧化物。实验和理论计算表明,正是V3O4结构中V3+离子的自旋-轨道耦合作用所引起的高各向异性能对出现高量子隧道磁化温度起着非常重要的作用。

V3O4量子点的磁性

V3O4量子点的变温EPR谱
