超导材料应用于电力传输系统长期以来一直是科学家们的一个伟大梦想。但是,在实际实践中,人们却遇到了极大的挑战,其中之一是寻找合适的具有优良柔韧性的超导材料。有鉴于此,探索具有实际应用价值的超导材料在过去的几十年里一直是凝聚态物理、材料物理以及工业领域的一个热门研究课题。
最近,在中科院强磁场科学中心首席科学家张裕恒院士的领导下,该团队的张昌锦研究员研究小组在应用型新超导材料研究中取得重要进展。研究人员利用高温固相反应法成功获得了具有优良超导转变的Nb2PdxS5-y (0.6<x<1) 超导纤维,纤维呈圆柱体状,直径在0.3微米到3微米之间。非常重要的是,这些纤维样品具有极佳的柔韧性,而且在空气中非常稳定,表明该类材料具有很好的实际应用前景。
研究成果以“转变温度达7.43 K的Nb2PdxS5-y超导纤维”(Superconducting Fiber with Transition Temperature up to 7.43 K in Nb2PdxS5-y (0.6<x<1)为题,发表在9月5日出版的《美国化学会志》上 [JACS 135, 12987-12989 (2013)]。强磁场科学中心的博士研究生于红艳为文章的第一作者。(文章链接http://dx.doi.org/10.1021/ja4062079)
该研究小组通过在原始化学配比中调节Nb,Pd,和S的不同组分,并适当在高温反应中调节反应温度和降温的方式,获得了大量具有相似纤维状形貌的Nb2PdxS5-y (0.6<x<1;0<y<0.61)样品。非常有意思的是,在其高的Pd位和S位缺陷浓度下,样品仍具有良好的超导转变,表明体系的超导电性非常强壮。
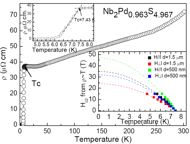
该研究小组还利用中科院强磁场科学中心的16特斯拉物理性质测试系统对样品在强磁场下的超导性能进行了测定,发现上临界磁场和临界电流密度随着样品直径变化的行为。该体系的上临界磁场和临界电流密度随着样品直径的减小迅速提高,例如直径为1.5微米的样品的上临界磁场约为34特斯拉(临界电流密度约0.87×106 A/cm2),而直径为0.5微米的样品的上临界磁场则可达40特斯拉以上(临界电流密度约1.18×106A/cm2),这种极高的上临界磁场和临界电流密度表明该材料在强磁场下具有很高的电流承载能力。

典型的Nb2PdxS5-y超导纤维的扫描电子显微镜图像,该纤维具有极佳的柔韧性

样品的超导转变和上临界磁场
