三维量子电动力学(QED3)是凝聚态物理中多种强关联体系的有效模型,比如欠掺杂的铜氧化物高温超导体,自旋为1/2的Kagome自旋液体等。基于QED3模型的理论研究显示,在零温下,狄拉克费米子在规范场的作用下将自发获得质量,这种狄拉克费米子质量的自发生成在铜氧化物超导体中对应着反铁磁序的形成。然而,在有限温下,自发生成的质量却无法恢复到零温下的结果。因此,关于在有限温度下的费米子质量的生成是当前关联电子体系理论研究的难点。
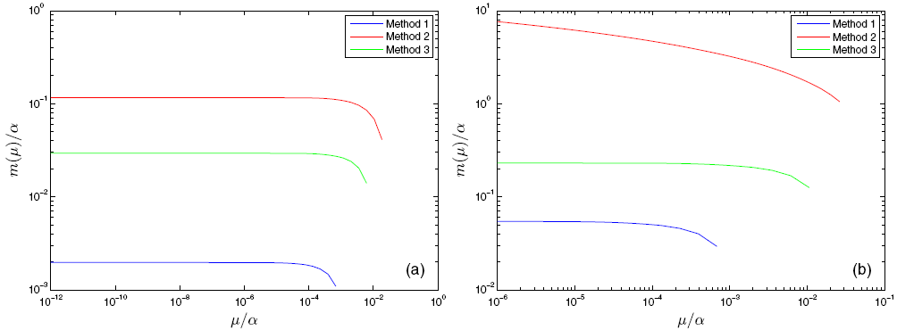
强磁场科学中心张昌锦课题组的王景荣博士与中国科技大学刘国柱课题组合作,提出一种新的近似方案,利用Dyson-Schwinger方程研究了有限温下QED3模型中费米子质量的自发生成。在这种近似方案下,包含了规范场传播子的横向分量,在一定程度上考虑了规范场传播子对于能量的依赖性,而且减除了红外发散,同时数值计算的难度并没有数量级上的增加。在这种近似方案下得到的自发生成的质量,可以定性地恢复零温下结果的特点,定量上接近零温下的结果。
该工作发表在Physical Review D上。审稿人认为:本工作研究的对象是粒子物理和凝聚态物理领域中具有挑战性,而有极其重要的体系,本文在相关领域做出了突出的贡献。
文章链接: http://journals.aps.org/prd/abstract/10.1103/PhysRevD.91.045006。
不同近似下零温极限下自发生成费米子质量的对比,横轴为红外截断,纵轴为费米子质量。
(a)/(b): 忽略/考虑费米子质量对于规范场传播子反馈效应。
