安光所激光技术中心功能薄膜材料研究室王时茂等研究人员在量子点敏化太阳电池(QDSCs)光阳极中量子点的分布和CuxS(硫化铜)对电极研究方面取得新进展。
在QDSCs光阳极中量子点的分布规律研究方面,研究人员通过研究CdS(硫化镉)和CdSe(硒化镉)量子点共敏化的TiO2(氧化钛)纳米颗粒光阳极中Cd(镉)、S(硫)、Se(硒)三种元素在薄膜中的浓度分布,及不同厚度光阳极中量子点的平均尺寸,建立了氧化钛光阳极中量子点的分布模型(图1);根据该模型,提出了优化氧化钛光阳极微结构的三种途径,并对氧化钛光阳极的厚度进行了优化。使用优化后的氧化钛光阳极和Pt(铂)对电极制备的QDSCs获得了3.26±0.10%的光电转换效率。该研究工作建立了量子点在氧化钛光阳极中的分布模型,对于氧化钛光阳极的进一步优化,提高QDSCs的光电转换效率具有重要价值。该成果发表在Journal of Power Sources(2015, 273, 645-653,SCI一区)上。
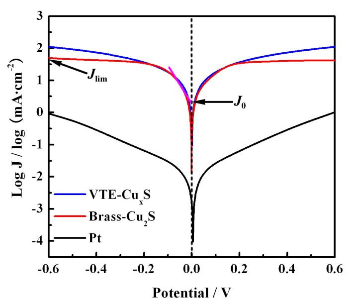
在QDSCs对电极的研究领域,引入了真空热蒸发镀膜(VTE)技术,在FTO(掺氟的氧化锡)导电玻璃基底上制备了CuxS(x=1-2)对电极,研究了VTE-CuxS对电极的催化活性、稳定性、及电池的光伏性能。结果显示,VTE-CuxS对电极催化活性(图2)和稳定性(图3)均优于常用的黄铜片基底Cu2S对电极和Pt对电极。该研究工作实现了FTO玻璃基底上CuxS对电极的制备,解决了基底易被腐蚀的问题,并且VTE技术可实现对电极的大面积制备,可以满足未来QDSCs商业化生产的需要。研究论文发表在Electrochimica Acta (2015, 154, 47-53,SCI二区)上。
此外,该研究室近年来一直致力于染料敏化太阳电池(DSCs)和QDSCs等新型薄膜太阳电池的研究,在一维半导体纳米结构(纳米线、纳米棒、纳米管、纳米花)阵列的合成及其在DSCs和QDSCs中的应用方面也取得了一系列进展,发表研究论文多篇,其中在用于背照射DSCs的Ti(钛)片基底TiO2纳米线阵列光阳极和FTO基底金红石相氧化钛单晶纳米棒阵列光阳极方面研究的重要进展也发表于Journal of Power Sources(J. Power Sources, 2010, 195, 2989-2995;J. Power Sources, 2013, 235, 193-201)。
上述研究工作得到了国家自然科学基金、973计划和中科院新型薄膜太阳电池重点实验室的支持。
图1. TiO2纳米颗粒薄膜光阳极中CdS/CdSe量子点的分布模型
图2. Pt、Brass-Cu2S和VTE-CuxS三种对电极对称结构电池的Tafel曲线
图3. Pt、Brass-Cu2S和VTE-CuxS三种对电极的循环伏安曲线
Journal of Power Sources论文
Electrochimica Acta论文
