SHMFF(稳态强磁场实验装置)用户苏州大学放射医学及交叉学科研究院环境化学团队在重金属离子Cu(II)和Ni(II)的竞争吸附机制研究中取得进展。相关研究成果发表在环境地球化学国际顶级杂志Geochimica et Cosmochimica Acta (2015, 166, 129-145)上。
重金属离子在天然环境介质中的扩散沉降、迁移转化、吸附解吸以及在植物和水生生物中的吸收、富集和载带过程是环境污染化学学科的基础研究内容之一。准确分析预测多介质环境中重金属离子的化学形态、迁移转化机理、演变趋势、生物有效性和生态毒性等热点难点问题对于污染水体的修复和治理有很重要的理论指导意义。
基于上述背景,苏州大学放射医学及交叉学科研究院环境化学研究团队结合静态批实验、表面络合模型拟合,X射线衍射技术、借助稳态强磁场实验装置的EPR谱和上海光源的XAS谱测试分析,深入研究了二价重金属离子Cu(II)和Ni(II)在天然矿物蒙脱石上的竞争吸附行为和对应的微观作用机制。
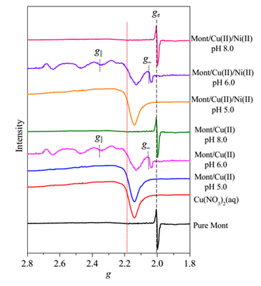
EPR谱学分析结果表明,Cu(II)在蒙脱石上的吸附形态随pH的升高而发生明显的变化。在pH=5.0条件下蒙脱石/Cu(II)吸附样品的EPR谱图和Cu(NO3)2(aq)标准样品的谱图非常相似(图1),表明Cu(II)以离子交换作用进入到了蒙脱石层间形成外层络合物(图2A)。在pH=6.0时,蒙脱石/Cu(II)吸附样品的EPR谱图在g ~2.07处出现各向异性谐振峰,显示在此条件下形成了稳定的内层络合物(图2B)。相比之下,pH=8.0条件下蒙脱石/Cu(II)吸附样品的EPR谱图没有出现低pH条件下样品谱图的任何谐振信号,反而和蒙脱石的谱图非常相似(图1)。这一结果表明在pH=8.0时Cu(II)在蒙脱石上形成了多核表面络合物(图2C)。上述EPR分析基于上述富有成果的工作基础和优越的科研平台,团队研究人员还将进一步探索发展新的分析方法和表征技术,以期更系统更准确地研究和预测现实水体环境中各种污染物的形态分布和迁移转化趋势,在环境化学学科重大科学问题和前沿领域中取得更大的进展和突破。
文章链接:http://www.sciencedirect.com/science/article/pii/S0016703715004032。
图1. 蒙脱石、Cu(NO3)2(aq)、蒙脱石/Cu(II)二元体系和蒙脱石/Cu(II)/Ni(II)三元体系吸附样品的EPR谱图
图2. 重金属离子Cu(II)和Ni(II)在蒙脱石上的吸附形态. (A) 外层络合物;(B) 内层络合物;(C) 多核表面络合物
