近期,固体物理研究所邹良剑研究员课题组在铜基和铁基超导材料的电子向列相研究中取得系列进展。相关成果发表在Journal of the Physical Society of Japan (2014, 83, 024705)、Chinese Physics. B (2015, 24, 017404)、Physical Review B (2015, 92, 085109)上。其中发表在Chinese Physics. B上的文章入选了National Science Review杂志 (National Science Review, Volume 2, Issue 3. Pp 253-254)。
电子向列相是铜基和铁基超导材料中普遍存在的一个较为奇特的电子相。在电子向列相中,系统的4重旋转对称性被破坏,而平移对称性被保留。在铜基超导材料中,这一电子相的相变温度与赝能隙的初始温度相同,因此理解其机制对解释铜基超导的赝能隙现象起着关键作用。而在铁基超导材料中,它开始于反铁磁转变温度和结构转变温度以上,并且与超导相相邻,理解其产生机制有助于理解铁基中超导电性的产生机制。然而迄今为止,其微观物理机制仍然处于争议之中。
为了揭示电子向列相的微观物理机制,研究人员采用量子变分蒙特卡罗方法,对基于铜基和铁基材料的多带哈伯德模型进行了研究。在铜基材料中,研究发现电子向列相可以完全由电子-电子关联所驱动,其中铜氧平面内铜离子的在位库仑排斥能,近邻铜离子和氧离子之间的库仑排斥能都在其中起着重要的作用。而在铁基材料中,研究发现铁平面内最近邻铁离子间的库仑相互作用V,对电子向列相的稳定起着关键性的作用,其机理为V的交换项在动量空间中引入了各向异性的电子-电子相互作用,从而引起了费米面的畸变;而费米面的各向异性,进一步引起了自旋关联的各向异性以及铁的3d xz和yz轨道上的轨道序的发生。这一发现与之前的理论假设完全不同,它为铁基中电子向列相的形成提供了一个全新的理论解释。该理论解释有助于将不同铁基超导材料中的电子向列相的形成归结到一个统一的物理图像之中, 在铁基超导材料研究中有重要的意义。
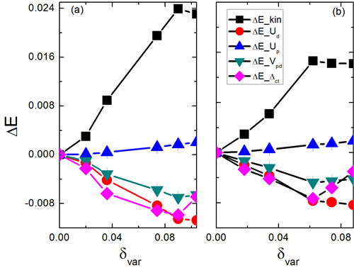
图1:铜基超导中电子向列相各部分能量随着序参数δvar的变化,(a)和(b)对应的掺杂浓度分别为0和0.05。可以看到铜的在位库仑排斥能Ud,铜-氧间的库仑排斥能Vpd以及电荷转移能Δct对于向列相的稳定起重要贡献。
图2:(a)铁基超导中电子向列相中各部分能量随着掺杂浓度x的变化;(b)凝聚能随着近邻铁离子间的库仑相互作用V的变化情况。可以看到V大于0.35eV时电子向列相才开始稳定。
图3:铁基超导中电子向列相的费米面畸变。(a)为正常态的费米面,(b)为电子向列相的费米面。
相关论文信息:
[1] X. J. Zheng, Z. B. Huang, L. J. Zou, “Spontaneous Fermi surface deformation in the three-band Hubbard model: A variational Monte Carlo study”, J. Phys. Soc. Jpn.83, 024705 (2014).
[2] X. J. Zheng, Z. B. Huang, D. Y. Liu,L. J. Zou, “Nematic state stabilized by off-site Coulomb interaction in iron-based superconductors”, Phys. Rev. B 92, 085109 (2015).
[3] X. J. Zheng, Z. B. Huang, L. J. Zou, “Variational Monte Carlo study of the nematic state in iron-pnictide superconductors with a five-orbital model”, Chinese Phys. B24, 017404 (2015).
