细胞增殖性死亡和辐射适应性反应是目前肿瘤辐射治疗的关键性问题,由于缺少合适的生物研究模型,相关的研究主要集中在离体的细胞实验体系,尚缺少一个细胞分化谱系清晰、操作简便的活体组织实验模型。
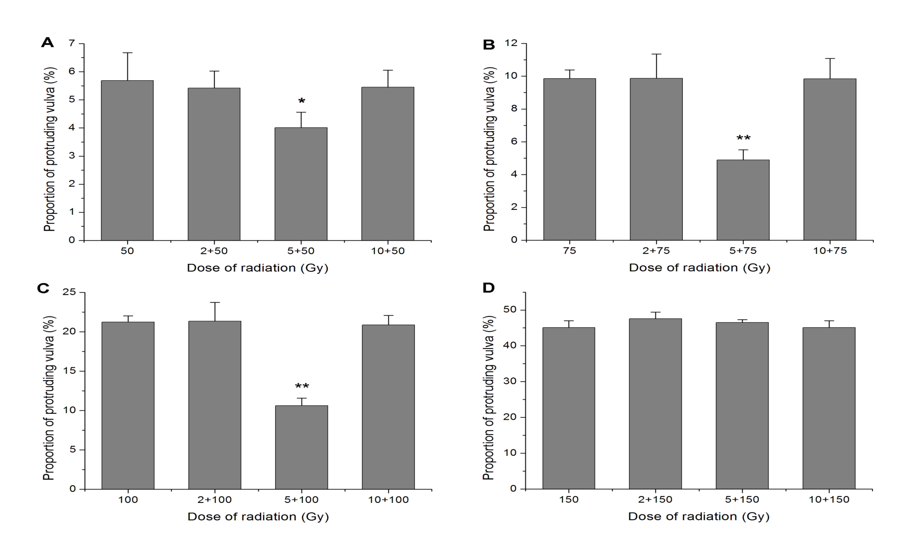
模式生物线虫的阴门组织是辐射诱导细胞增殖性死亡的活体组织模型(图1),技术生物所卞坡研究组利用新购置的gamma辐射装置,对L1/L2期的线虫进行小剂量的适应性辐射和大剂量的挑战辐射,发现前期小剂量辐射可以明显降低后续大剂量辐射对阴门畸变的诱导(图2),表明线虫阴门细胞的增殖性死亡也存在辐射适应性反应。进一步的研究发现,线虫阴门模型辐射适应性的诱导有很窄的时间和辐射剂量窗口。机制研究表明:DNA损伤的非同源末端连接(NHEJ)修复通路,以及其上游的DNA损伤检验点机制参与了线虫阴门细胞辐射适应性反应的诱导,而DNA损伤检验点的相关基因并不在阴门细胞中表达,表明线虫阴门细胞辐射适应性反应的诱导可能是非细胞自主性的。该研究结果已经被国际辐射研究领域核心期刊《Radiation Research》接受发表。
该研究受到国家自然科学基金-大科学装置联合基金的资助。
文章链接:http://www.ncbi.nlm.nih.gov/pubmed/27023260

图1. 辐射诱导线虫阴门细胞增殖性死亡的活体组织模型。

图 2. 诱导线虫阴门细胞辐射适应性反应的gamma剂量组合。
(14h-适应性辐射,16 h-挑战辐射)
