最近,中国科学院强磁场科学中心的杨昭荣研究员课题组与张昌锦研究员课题组紧密合作,利用高压和强磁场极端条件在拓扑绝缘体材料的量子序调控研究中取得重要进展,相关结果以“拓扑绝缘体Sr0.065Bi2Se3压力诱导的再现超导电性”为题,发表在美国物理评论杂志Physical Review B上。
拓扑绝缘体是一种新的量子物态,这种物态的体电子态是有能隙的绝缘体,而其表面则是无能隙的金属态,并且受到时间反演对称性的保护非常稳定,基本不受杂质与无序的影响。不同于一般意义上的由于表面未饱和键或是表面重构导致的表面态,拓扑绝缘体的表面态完全由材料体电子态的拓扑结构决定,与表面的具体结构无关。拓扑绝缘体的概念同样也适用于超导体。理论研究表明在拓扑超导体中可能出现马约拉纳(Majorana)费米子,被预测的马约拉纳费米子在拓扑超导体中将以受保护的束缚态存在。近年来,人们为了找到真实的拓扑超导材料开展了大量的研究工作。其中,Cu插层的拓扑绝缘体Bi2Se3由于容易获得大尺寸块体超导单晶受到了广泛的关注。但是,CuxBi2Se3是否为拓扑超导体目前仍然存在争议。最近,张昌锦研究员课题组研究发现SrxBi2Se3单晶表现出高达91.5%的超导体积比,在10特斯拉到35特斯拉磁场区间出现了周期性的量子振荡信号,给出了此体系存在拓扑保护表面态的证据【J. Am. Chem. Soc. 137, 10512 (2015)】。这些结果表明SrxBi2Se3是一个非常有利于探索拓扑超导的体系。
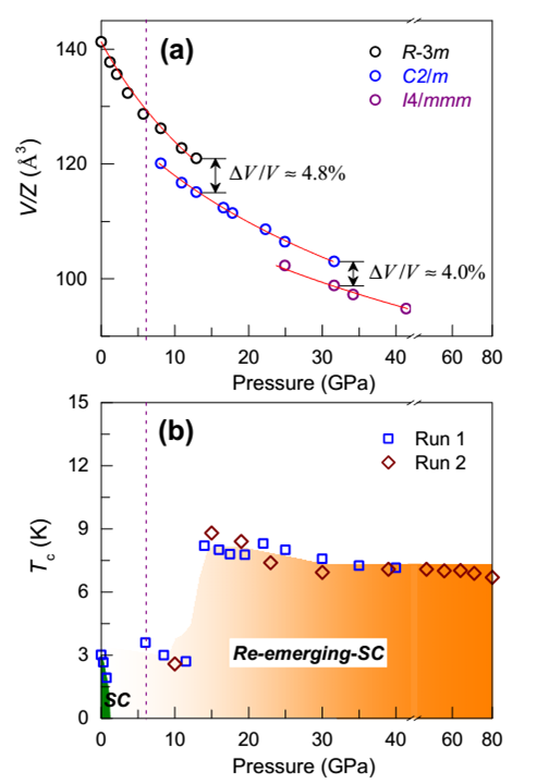
压力作为一个基本的热力学参量,是一个干净的调控手段,它可以有效地调节晶格和电子态,特别是材料的量子态。研究人员综合利用高压下的电输运测量、同步辐射X射线衍射和拉曼光谱等实验手段,对超导的拓扑绝缘体Sr0.065Bi2Se3单晶进行了详细研究(压力最高达到80GPa)。研究发现压力诱导了再入的超导电性和结构相变。在1.5GPa以下压力范围,样品的超导转变温度随着压力的增大逐渐减小至零,之后,样品电阻从金属导电变为半导体导电。随着压力的进一步增加,体系在6GPa附近再次出现Tc为3.6K的超导转变,此时高压单斜相C2/m出现并与原先菱形相R-3m共存,而超导转变温度先略微降低后升高,在14GPa达到8.8K,此时仅有单斜相C2/m。最后,Tc几乎不变一直到80GPa,并伴随25GPa附近出现高压四方相I4/mmm。这些结果表明Sr0.065Bi2Se3与母体Bi2Se3拓扑绝缘体中高压结构相变诱导可能的p波超导电性相似,Sr原子的插入保留了母体拓扑绝缘体的晶体结构。
高压电输运测量部分实验是在稳态强磁场实验装置(SHMFF)的高压-强磁场-低温综合测量系统上完成的。上述研究成果得到了国家自然科学基金,973计划等项目的资助。本工作合作单位还包括中国科学院固体物理研究所、美国阿贡国家实验室以及南京大学协同创新中心。
相关链接: “Pressure-induced reemergence of superconductivity in topological insulator Sr0.065Bi2Se3” Phys. Rev. B 93(14), 144514 (2016) doi: 10.1103/PhysRevB.93.144514。

压力下Sr0.065Bi2Se3的状态方程和超导相图
