安徽光机所激光技术中心方晓东研究员课题组在钙钛矿太阳电池研究方面取得新进展,相关研究工作以“Credible evidence for the passivation effect of remnant PbI2 in CH3NH3PbI3 films in improving the performance of perovskite solar cells”为题目发表于Nanoscale(影响因子7.760,SCI一区)杂志上(Nanoscale, 2016, 8: 6600-6608)。
以钙钛矿型有机金属卤化物为光吸收材料的钙钛矿太阳电池(PSCs)是薄膜太阳电池的最新发展,目前经认证的最高光电转换效率已达22.1%,超越了多晶硅太阳电池的最高光电转换效率21.3%,因此,极具应用前景。CH3NH3PbI3是PSCs中最典型和最常用的光吸收材料,CH3NH3PbI3薄膜的制备过程中往往会有PbI2残留,目前残留PbI2的作用尚存争议,一方观点认为其可起到钝化作用提高电池性能,另一方观点则完全相反。
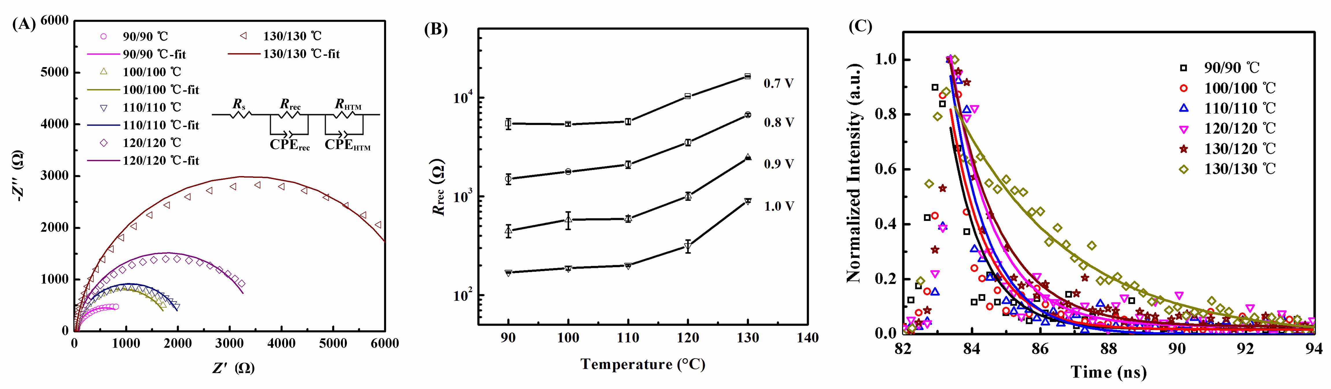
该课题组的研究人员认为PbI2能否起到钝化作用并提升电池性能的关键在于PbI2存在的位置及存在的量。课题组王时茂博士等通过控制CH3NH3PbI3薄膜制备过程中的各项参数,获得了PbI2含量和位置不同的CH3NH3PbI3薄膜。通过对CH3NH3PbI3薄膜荧光寿命的测量和对相应PSCs中暗电流和电荷复合阻抗的测量等,他们发现随着CH3NH3PbI3/TiO2电子传输层界面PbI2含量的增加,CH3NH3PbI3薄膜的荧光寿命逐渐增加,电池的复合电阻也逐渐增大,即电池中电荷的复合被逐渐抑制,这说明此界面处的PbI2可以起到钝化作用,抑制TiO2电子传输层中的电子和CH3NH3PbI3薄膜中空穴的复合;当残留PbI2主要位于CH3NH3PbI3颗粒之间时,CH3NH3PbI3薄膜的荧光寿命和电池的复合阻抗显著增加,此即CH3NH3PbI3颗粒之间PbI2的钝化作用对电荷复合的抑制效果。本项研究为PSCs中PbI2的钝化作用提供了直接证据,对未来PSCs的发展方向具有一定的参考意义。
上述研究工作得到了国家自然科学基金、中国博士后科学基金、973计划和中科院新型薄膜太阳电池重点实验室的支持。(夏锐)

图1. (A)0.8V偏压下不同PbI2含量PSCs的电化学阻抗谱;(B)不同偏压下不同PbI2含量PSCs的复合阻抗;(C)不同PbI2含量CH3NH3PbI3薄膜的荧光寿命谱。
