强磁场中心张昌锦课题组利用稳态强磁场实验装置的五号水冷磁体,在30特斯拉磁场强度和0.36K极低温条件下进行了精密的数据测量,对近期发现的潜在的拓扑超导材料PdTe2的电子结构进行了研究,得到了完美的强磁场振荡信号。该工作从磁性和电性两个方面给出了该体系中占主导地位的单带电子结构,这一结果对后期关于拓扑超导材料的电子态结构研究具有重要意义。研究成果以“De Hass-van Alphen and magnetoresistance reveal predominantly single-band transport behavior in PdTe2”为题,发表在8月12日出版的Scientific Reports上 [Sci. Rep. 6, 31554 (2016)]。
拓扑超导材料由于其在基础物理研究和产业应用中的巨大前景而成为当前凝聚态物理和材料物理研究领域的热点课题。在过去的几年里,在掺杂的拓扑绝缘体中发现了CuxBi2Se3,SrxBi2Se3等潜在的拓扑超导材料,引起了人们广泛的关注。但是,目前对拓扑超导材料的电子态还没有比较完整的认识。
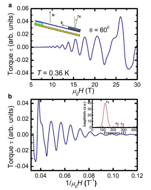
前期的理论计算和角分辨光电子能谱实验结果均表明PdTe2材料具有复杂的多带电子结构,这极大地限制了对该体系的进一步研究。张昌锦课题组通过强磁场下的磁性测量观测到非常清晰和周期性的de Hass-van Alphen振荡信号,对该振荡信号进行傅里叶变换分析,发现该体系中存在一个占主导地位的振荡峰,相比于这个振荡峰,其它振荡峰(代表不同能带)的幅度至少都低一个数量级以上。这就说明该体系的电子结构完全可以简化为单带结构。该课题组还利用强磁场下的电阻率测试,从磁阻行为上也得到了单带行为的证据。
该工作得到了科技部、国家自然科学基金委及合肥大科学中心项目资助。
文章链接:http://www.nature.com/articles/srep31554。
(a) 在0.36 K极低温和强磁场下,PdTe2样品呈现出良好的de Hass-van Alphen振荡信号;(b)该振荡信号表现出随磁场强度的倒数的周期性振荡信为,插图中的傅里叶变化谱表明体系具有单带电子行为。
