非中心对称材料具有丰富的物理现象,例如在非中心对称的铁磁性材料中,由于存在铁磁交换作用和DM相互作用的竞争,在外磁场下将出现拓扑的磁斯格明子(Skyrmion)相。同样的,在一些非中心对称超导体中,由于其内部含有反中心对称的Rashba自旋-轨道相互作用,材料将展现出不同于常规超导材料的新奇性质,如理论预言其超导态可能会出现超导对自旋单重态和自旋三重态的混合特征等。
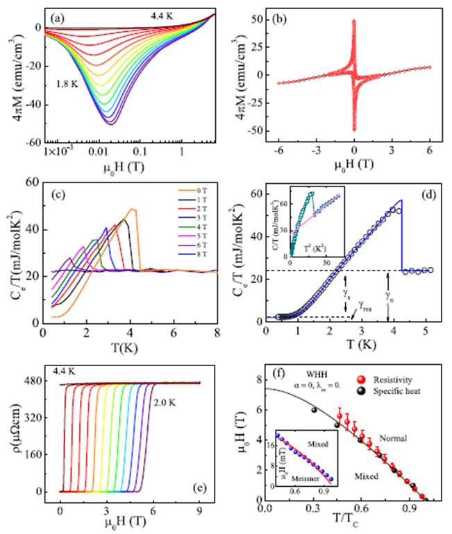
最近,张裕恒院士的博士研究生韦文森在强磁场中心杜海峰博士和田明亮研究员的联合指导下,在首次合成非中心对称过渡金属氮化物Rh2Mo3N【PHYSICAL REVIEW B 93, 060409(R) (2016)】的基础上,对其物性进行研究。 实验发现:该材料展现出转变温度为4.3 K的超导特性。通过对其电阻、磁性、比热、安德烈夫反射谱(Andreev reflection)等进一步的研究发现,该材料展现出非常明显的以各相同性s波单重态占主导的超导配对机制。 通过对材料磁性元素铁、钴掺杂,超导特性被抑制,但出现了非平庸的拓扑斯格明子(Skyrmion)相。因此,该工作不仅为探索非中心对称超导物理提供了新的机遇,而且也为探索非中心对称超导体和非平庸拓扑磁斯格明子之间的相互竞争机理提供了新思路 。
该工作与美国亚利桑那州立大学陈廷勇教授、美国约翰霍普金斯大学钱嘉凌教授(C. L. Chien)及美国新罕普什尔大学藏佳栋教授开展了合作研究,论文于2016年9月7日在线发表在《物理评论B》上。
文章链接:http://journals.aps.org/prb/abstract/10.1103/PhysRevB.94.104503。
该工作部分数据在稳态强磁场实验装置SHMFF的多功能物性测试测试系统、磁性测试系统、X射线衍射仪设备上测试完成,获得了国家自然科学基金、中国科学院青年创新促进会、中国科学院/外国专家局(CAS / SAFEA)国际合作创新研究团队项目的支持。

非中心对称超导体Rh2Mo3N展现出丰富的磁学、电学和比热特性。实验数据和理论拟合显示,Rh2Mo3N超导态库伯对是以s波单重态配对为主导的配对机制。
