辐射诱导的细胞增殖性死亡被认为是肿瘤干细胞放疗后的一种重要死亡方式,在个体水平研究细胞增殖死亡的辐射适应性反应,以及辐射旁效应对它的远程调控作用对增进肿瘤放疗有着重要的理论和应用价值。
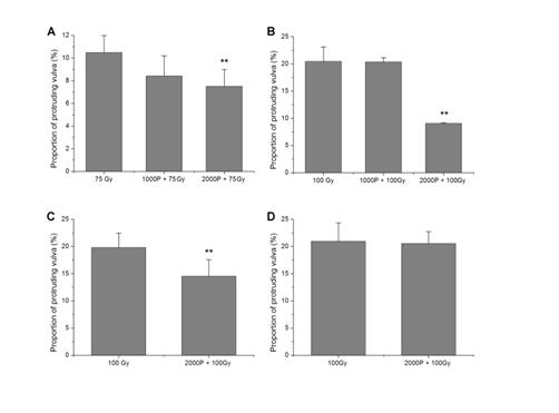
技术生物所卞坡课题组在以线虫阴门畸变作为活体模型,成功演示细胞增殖死亡的辐射适应性反应(Radiation Research, 2016,185:402-410)的基础上,进一步利用单粒子微束研究个体水平辐射旁效应和适应性之间的联系(图1)。他们的研究结果发现:质子微束定点辐射线虫食道球和尾部,同样能够降低后续伽马辐射诱导的线虫阴门畸变的比率,在个体水平证明辐射旁效应诱导了细胞增殖死亡的辐射适应性反应,以及DNA损伤检验点在其中的远程介导角色(图2)。该结果已经被国际辐射研究的核心期刊Radiation Research(2016 DOI:10.1667/RR14548.1)杂志接受发表。
个体水平辐射旁效应的诱导也受到激素类物质的调控,该课题组在确定植物激素茉莉酸和水杨酸介导个体间表观遗传通讯的基础上(Mutation Research, 2016,790:56-67),进一步发现:茉莉酸的合成和信号转导调控了植物个体辐射旁效应诱导的整个过程,包括靶区辐射损伤信号的产生、传递和旁区的辐射响应;其调控作用也受內源茉莉酸浓度平衡的影响(图3)。该结果已经发表在国际辐射研究的核心期刊Mutation Research上(2016,791:1-9)。
以上工作得到了国家自然科学基金和安徽省自然科学基金的资助。
图1 基于单粒子微束的辐射旁效应和适应性的互作研究
图2 单粒子线虫定点辐射诱导阴门细胞增殖死亡的适应性反应
(A 和B:线虫后食道球微束辐射;C:线虫尾部器官微束辐射;D:空白点对照微束辐射)
图3 茉莉酸信号通路参与辐射诱导旁效应的作用模式
