近期,固体所纳米室李广海研究员课题组研究人员在M相VO2(VO2(M))热致相变纳米材料研究方面取得新进展。相关研究工作以背封面论文发表在《欧洲化学》(Chem. A Euro. J. 22 (2016) 17627)上,并获授权国家发明专利一件(ZL201310384430.3)。
VO2(M) 纳米材料具有可逆的金属-半导体相变,由于相变前后材料的光学和电学性能发生突变,使其在光电器件、红外探测和智能窗等领域具有重要的应用前景。因此发展低成本可控制备技术,对于实现VO2(M)纳米材料的产业化和应用都具有重要意义。
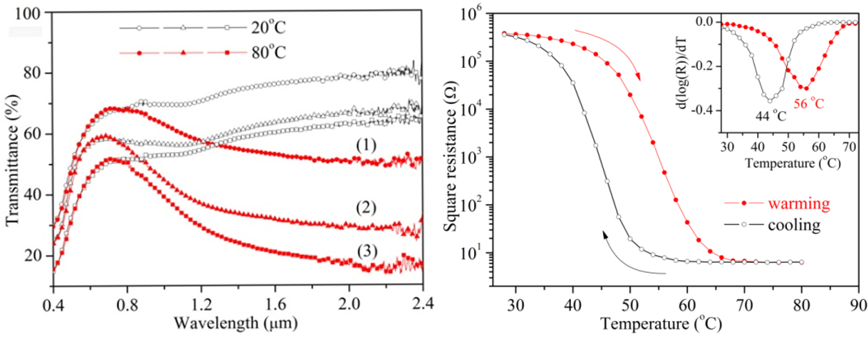
李广海研究员课题组吴昊博士发展了一种利用阳极氧化金属钒直接制备高品质非晶VO2胶体的方法,所获得的胶体不仅分散性好、成膜性能佳,而且具有很高的抗氧化能力。借助空气中低温快速热处理可以将非晶VO2胶体直接转变为VO2(M) 纳米颗粒。所制备的VO2(M) 纳米颗粒膜具有良好的热致变色和热敏电阻特性,相变前后电导率变化达到5×104量级,太阳光积分透过率和可见光积分透过率分别可达9.4%和40.7%。值得一提的是将所制备的非晶VO2胶体喷涂在预加热玻璃上可以直接制备VO2(M)热致变色薄膜,为VO2(M) 的规模制备和实际应用奠定了一定的材料基础。
该研究工作得到国家自然科学基金项目(51372250和51402304)的资助。
【文章链接】http://onlinelibrary.wiley.com/doi/10.1002/chem.201604611/full

论文发表背封面图。
(a)
图2. (a)不同厚度VO2(M)纳米颗粒膜的透射谱:(1) 160 (2) 230 和 (3) 420 nm。(b)VO2(M)纳米颗粒膜方块电阻-温度关系曲线。
