近期,强磁场科学中心田明亮研究员课题组在三维狄拉克半金属材料ZrTe5研究中取得新进展,研究人员通过机械剥离ZrTe5单晶的办法研究了不同厚度ZrTe5纳米片的输运性能,结果发现纳米片的厚度能够显著调制其能带特征,相关研究结果以Thickness-tuned transition of band topology in ZrTe5 nanosheets为题发表在美国物理学会Physical Review B上。
狄拉克半金属是目前凝聚态领域和材料科学领域研究的热点,它可视为“三维石墨烯”,在低能耗电子学器件应用上具有重要价值。层状材料ZrTe5由于具有高度各向异性的狄拉克能带特征,在相关研究中受到很多关注。早期研究表明ZrTe5是性能优异的热电材料,最近的理论研究表明单层的ZrTe5是一个具有大能隙的量子自旋霍尔绝缘体,块体材料的拓扑性质位于强-弱拓扑绝缘体之间。角分辨光电子能谱和磁场下红外光谱的研究实验表明ZrTe5可能是一个三维狄拉克半金属材料,而扫描隧道显微镜(STM)结果表明单层ZrTe5是二维拓扑绝缘体,拥有较大的能隙,且具有良好的弹性。这些相互矛盾的实验结果一直困扰着相关研究人员。
近年来,田明亮研究员课题组对ZrTe5开展了持续的研究工作,例如在前期的研究中利用强磁场科学中心的稳态水冷磁体(~31T),给出了ZrTe5中存在三维狄拉克半金属相的电输运证据,包括手性负磁阻效应、三维特征的量子振荡以及强磁场下的朗道能级劈裂效应等 [Phys. Rev. B 93, 115414 (2016)] 。
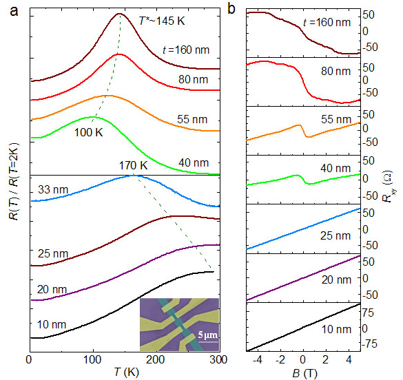
由于ZrTe5具有各向异性的狄拉克能带特征,其电子结构对温度、磁场、压力以及应力等高度敏感。因此最近课题组利用维度调控的方法,对ZrTe5的电子结构进行了深入研究。研究人员机械剥离ZrTe5单晶获得不同厚度的ZrTe5纳米片,并对其电输运行为进行测量,结果发现纳米片的电阻反常峰的温度随着纳米片厚度表现出非单调的变化,即随着厚度从160纳米降低到40纳米,反常峰逐渐从150K逐渐减小到100K,而厚度进一步降低到10纳米时,反常峰反而逐渐升高到接近室温。这些结果表明薄纳米片(小于40 纳米)中电阻反常峰的起源与块体样品中电阻反常峰不同。研究同时发现随着纳米片的降到40纳米以下,ZrTe5从具有两种载流子的拓扑半金属逐渐转变为只有空穴的普通金属而且随着厚度的逐渐减小,纳米片的费米能级逐渐从导带降低到价带,表现出厚度调制的能带转变。这些能带变化特点结果对深入理解ZrTe5中各种不同的实验结论具有重要的意义。
该研究工作得到了国家重点研究计划项目、国家自然科学基金以及合肥大科学中心等项目的支持在线发表在近期《物理评论B》上【Phys. Rev. B 95, 125135 (2017)】。
文章链接:https://link.aps.org/doi/10.1103/PhysRevB.95.125135。
不同厚度ZrTe5纳米片的电阻性能和T=2K时的霍尔电阻
