近期,固体所物质计算科学研究室张永胜研究员在利用弹性常数计算材料热导率研究方面取得了重要进展,相关结果以Lattice thermal conductivity evaluated using elastic properties为题发表在《物理评论B》上 (Physical Review B 95, 155206 (2017))。
热电材料是一种可以将热能直接转换成电能的功能材料,在改善能源与环境问题方面具有良好的应用前景。从理论上寻找良好的新型热电材料一直是热电研究领域的重要课题之一。材料的热导率是表征材料热电性能的重要物理量,然而,从理论上计算材料的热导率需要求解材料的声子玻尔兹曼输运方程或详细研究材料的声子振动性质,这使得理论计算材料的热导率非常耗时且困难,不利于快速高效地寻找出新型热电材料。热电材料的研究指出,原子间相互作用弱的材料,具有强烈的非简谐效应,使得其晶格热导率较低。从力学性能上看,弱的原子间相互作用会导致材料的弹性常数较低。
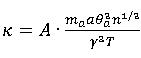
因此,张永胜研究员提出了一种利用材料弹性常数计算材料热导率的方法。该方法首先通过第一性原理计算了材料的弹性常数,然后利用弹性常数与声速的关系,求出了材料的德拜温度Q;利用弹性常数随体积的变化关系,得到了材料的格瑞尼森常数g;最后利用Slack提出的热导率k与德拜温度Q、格瑞尼森常数γ之间的关系式:
,从理论上计算出了材料的热导率;并用该方法计算了3种不同结构类型(Rock-salt,Zincblende,Wurtzite)的多种二元半导体化合物的德拜温度Qe,格瑞乃森常数ge和热导率ke,其计算结果和利用声子性质计算到的结果相吻合。计算结果表明,该方法可以快速且有效计算出材料的热导率,这在高通量快速预测新型热电材料方面具有重要意义。
以上研究得到了国家自然科学基金面上和合肥科教中心项目等的资助。
【文章链接】https://journals.aps.org/prb/abstract/10.1103/PhysRevB.95.155206
图1. 3种不同结构类型的化合物利用弹性常数计算得到的德拜温度Qe与利用声子性质得到的德拜温度Qw的对比图。
图2. 3种不同结构类型的化合物利用弹性常数计算得到的格瑞乃森常数ge与利用声子性质得到的格瑞乃森常数gw的对比图。
图3. 3种不同结构类型的化合物利用弹性常数计算得到的热导率ke与实验测得的热导率kexp的对比图。
