近期,固体所物质计算科学研究室郑小宏研究员小组在二维材料中利用热梯度诱导自旋流的研究方面获得新的进展,相关结果发表在2D Materials (2D Mater. 4, 035001 (2017))和RSC Advances (RSC Adva. 7, 28124 (2017))等国际期刊上。
如何产生自旋流一直是自旋电子学的研究热点。目前,研究人员提出了很多产生自旋流的方法。例如:用偏振光激发自旋流,用含时的外场去泵出自旋流,利用自旋轨道耦合诱导自旋流以及用铁磁导线注入自旋流等,并且其中一些方法已在实验上得到实现。此外,实验工作表明在铁磁合金材料两端施加温度梯度会诱导出自旋流,这也为产生自旋流提供了一类新的方法。同时,如何在二维材料中实现自旋流也一直是引人关注的研究课题。
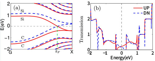
近期研究发现,具有锯齿形边沿的单层SiC纳米带具有奇特的边沿态,它与石墨烯纳米带不同,其边沿态与体态在能量上是分离的,因此可以通过利用边沿态来设计自旋电子器件。对于完美的SiC纳米带体系而言,利用热诱导自旋流是不理想的,通过什么样的方式将这一体系调制成适合实现热致自旋流的体系是一个有趣的研究问题。郑小宏课题组研究人员提出了利用双边替代掺杂机制来控制边沿态输运通道以实现热致自旋流的方案。研究发现,通过在边沿为C的一边用B原子替换一个边沿C原子而在边沿为Si的一边用P原子替换一个边沿Si原子,可以使得在费米能级附近自旋向上和自旋向下的透射谱斜率相反。由于在线性响应近似下,体系的Seebeck系数与透射谱的斜率成正比,因此,B-P共掺杂的SiC纳米带中自旋向上与自旋向下的Seebeck系数互为异号,在自旋分辨的热致电动势驱动下不同自旋的电子朝相反方向运动,形成热致自旋流。通过调节体系的化学势和工作温度,还可以得到纯自旋流。相关工作发表在2D Materials 4, 035001 (2017)。
此外,研究人员还发现,将具有锯齿形边沿的硅烯纳米带的两边分别采用不同的氢化方案去饱和边沿悬挂键,分别形成sp2和sp3杂化的边沿构型,也可以获得纯的热致自旋流。相关工作发表在RSC Advances 7, 28124 (2017)。
这些结果对基于二维材料边沿态的自旋卡诺电子器件设计具有重要的参考意义。
以上研究得到了国家自然科学基金项目的资助。
文章链接:
1. http://iopscience.iop.org/article/10.1088/2053-1583/aa74a2/meta
2. http://pubs.rsc.org/en/Content/ArticleLanding/2017/RA/C7RA04477A#!divAbstract
图1. (a) 铁磁态锯齿形SiC的能带结构;(b) B-P共掺杂后的透射函数
图2. (a) 费米能级处两个能带中态的局域性变化;(b)体系自旋分辨的Seebeck系数
