近期,固体所功能材料研究室尹利华等研究人员在钙钛矿结构Cr基氧化物的磁性及磁电效应等方面的研究获得新进展,相关结果相继发表在Applied Physics Letters (Appl. Phys. Lett. 111, 072402 (2017); Appl. Phys. Lett. 110, 192904 (2017))等国际期刊上。
磁性是物质的一种基本属性,磁性物质在信息存储、磁制冷等现代科学技术和生产生活中具有广泛应用。具有简单钙钛矿结构的RCrO3(R=稀土元素)及其Fe掺杂体系不仅具有很强的磁电效应,而且还表现出较大的磁热效应及温度诱导的磁矩翻转等现象,近年来已受到越来越多的关注。但是目前其微观机理尚不明确,甚至该体系中观察到的磁电效应是否为本征属性仍然存在争议。因此,对该体系的磁性及磁电效应进行系统研究具有重要的科学意义,有助于理解其微观机理,探寻新型磁性功能材料及磁电材料。基于此,固体所研究人员对一系列Fe掺杂的RFe0.5Cr0.5O3 (R=Y, Sm, Nd, Dy, Gd等)多晶、RCrO3 (R=Gd, Tb, Dy, Er, Nd等)及其掺杂体系单晶的磁电效应进行了系统研究。
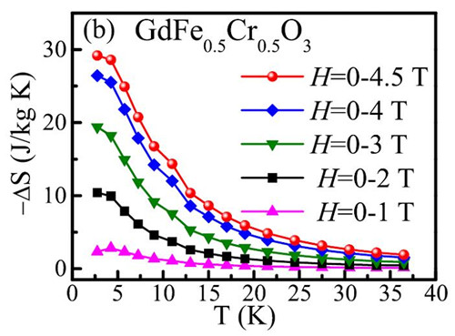
研究发现,Fe掺杂的RFe0.5Cr0.5O3 (R=Y, Sm, Nd, Dy, Gd等)体系,除了具有巨磁热效应、温度诱导的磁矩翻转、只改变外加磁场大小而无需改变磁场方向的磁矩翻转等现象外,在室温以下还表现出两个相继发生的介电弛豫行为。分析表明,该体系中温度诱导的磁矩翻转现象不仅与R-Cr/Fe磁相互作用有关,还与Fe-Cr磁相互作用密切相关。而在低温下发生的两个介电弛豫则分别与电子在富Cr团簇及富Fe团簇内的跳跃有关,其中富Cr/Fe团簇是由体系中Fe/Cr无序引起的。相关工作相继发表在Materials Research Bulletin (Mater. Res. Bull. 48, 4016 (2013))、Applied Physics Letters (Appl. Phys. Lett. 110, 192904 (2017))等上。
为了进一步深入研究RCrO3体系的磁电效应及温度诱导的磁矩翻转等现象的微观机理,研究人员生长了RCrO3 (R=Gd, Tb, Dy, Er, Nd等)及其掺杂体系的单晶样品。通过对其磁性和磁电效应等进行深入研究发现,该体系的磁学性能因稀土元素R的变化存在很大差异,但在低温下都具有较强的本征磁电耦合效应。(1)GdCrO3单晶:在该单晶中不仅观测到了两个连续的温度诱导的磁矩翻转现象,还发现了温度诱导的磁矩不连续跳跃的新现象。这些磁现象与GdCrO3单晶材料中Gd-Cr自旋相互作用有密切关联。此外,在低温下该单晶还表现出极大的磁热效应,其数值高达~242 mJ cm-3 K-1,远大于其它稀土合金(如,HoCoAl等)以及Gd基石榴石Gd3Ga5–xFexO12 等同温区的磁热材料。相关结果发表在Journal of Applied Physics (J. Appl. Phys. 117, 133901 (2015))上。(2)TbCrO3、ErCrO3及DyCrO3单晶:TbCrO3和ErCrO3单晶在低温下都表现出磁场诱导的磁矩跳跃现象;ErCrO3单晶在低温下还具有非常大的旋转磁热效应;而DyCrO3及ErCrO3单晶在低温下表现出Cr离子及稀土离子的自旋重取向行为。这些现象都属首次报道。相关结果发表在Journal of Materials Chemistry C (J. Mater. Chem. C 4, 11198 (2016))。
通过对RCrO3体系Cr位进行磁性元素替代,可以引入新的磁相互作用,进而改变其磁性基态并获得一些新的磁、电等性质。基于该思路,科研人员生长出了Fe掺杂YCr1-xFexO3(x=0.12)单晶样品,研究发现该样品由于Fe/Cr之间的无序占位以及较强的Fe-Cr磁相互作用,使得其表现出不同于YCrO3和YFeO3母体样品的磁场及温度诱导的自旋重取向等磁行为。相关工作发表在Applied Physics Letters (Appl. Phys. Lett. 111, 072402 (2017))。
该工作得到国家自然科学基金,中国科学院前沿科学重点研究项目的资助。
文章链接:http://dx.doi.org/10.1063/1.4999313
http://dx.doi.org/10.1063/1.4983363
http://pubs.rsc.org/-/content/articlehtml/2016/tc/c6tc03989h
http://dx.doi.org/10.1063/1.4916701
http://www.sciencedirect.com/science/article/pii/S0025540813005138
图1. YCr0.88Fe0.12O3单晶的“温度-磁场”相图
图2. GdFe0.5Cr0.5O3多晶中巨磁热效应
图3. TbCrO3单晶中磁场诱导的磁矩跳跃现象(左图)及DyCrO3单晶中的磁电效应(右图)
