近期,强磁场科学中心田明亮研究员课题组在Dirac半金属ZrTe5中发现由磁场诱导出的拓扑量子相变,相关研究结果以Field-induced topological phase transition from a three-dimensional Weyl semimetal to a two-dimensional massive Dirac metal in ZrTe5为题以rapid communications形式发表在美国物理学会期刊Physical Review B上。
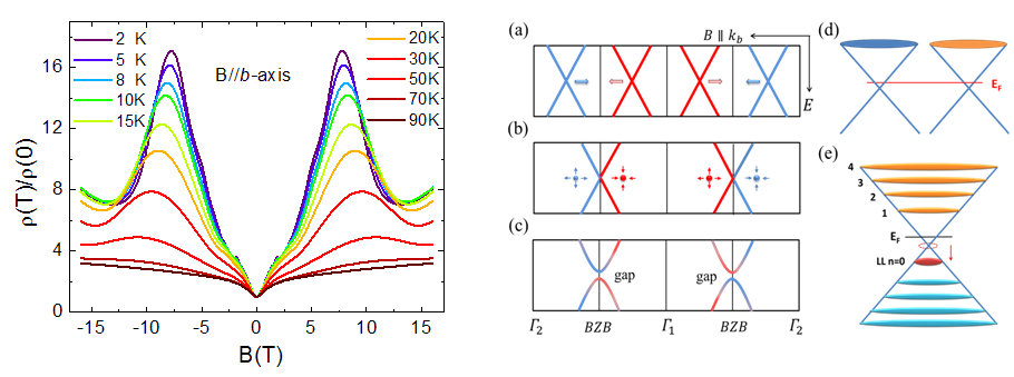
前期,课题组进行了输运研究,表明层状材料ZrTe5是三维的Dirac半金属[Phys. Rev. B 93, 115414(2016)],且厚度能对该材料的能带进行显著地调控[Phys. Rev. B 95, 125135(2017)]。近期,课题组与美国强磁场中心杨昆教授合作,进一步发现层状材料ZrTe5中层内(a-c面内)电子具有很大的塞曼g因子,使得动量空间中一对手性相反的Weyl点在磁场下迅速分开。当磁场足够强且塞曼能超过层间带宽时,手性相反的Weyl点将在布里渊区边界相遇并彼此湮灭,从而打开一个能隙。此时,磁场下的Weyl 半金属位相将转变为有质量的二维Dirac半金属位相。实验上,该课题组发现ZrTe5块材中的量子振荡由低场下的三维特性转变为高场下(>8 T)的准二维特性,表明电子在高场下的准二维运动特征。
进一步研究表明高场下准二维的费米面同样具有特定的手性且在强磁场下产生轨道劈裂,使得最低朗道能级向上或者下移动(具体的移动方向由手性决定),并引入额外的载流子,导致8T附近的霍尔信号异常。额外的载流子将大幅度增强系统的电导,最终使得ZrTe5磁阻出现了非常陡峭的下降。
该研究提出了一种在拓扑半金属中由磁场诱导的新的拓扑相变,并给出了高场下ZrTe5磁阻出现陡峭下降的一种可行的解释。
文章链接:https://journals.aps.org/prb/abstract/10.1103/PhysRevB.96.121401。
该研究工作得到了国家重点研展计划以及国家自然科学基金等项目的大力支持。
(左)磁场下ZrTe5磁阻出现陡峭下降。 (右)塞曼劈裂以及轨道效应。
