近期,等离子体所EAST团队孙有文研究员课题组王辉辉博士等人在EAST上利用三维磁扰动场控制误差场锁模研究方面取得了新突破,相关结果发表在聚变领域顶级期刊Nuclear Fusion上[H. H. Wang, et al, Density scaling on n=1 error field penetration in ohmically heated discharges in EAST, Nuclear Fusion: 58, 056024(2018)]。
误差场锁模诱发破裂是未来磁约束聚变堆装置如ITER面临的一个巨大挑战。通过现有理论与实验结合外推到ITER,评估ITER的误差场容忍范围一直是误差场研究的中心问题。但是近二十多年来,理论预测的定标结果与实验定标结果尤其在密度定标方面存在着较大差距,这成为理论预测未来ITER误差场容忍范围的一道难以逾越的鸿沟。
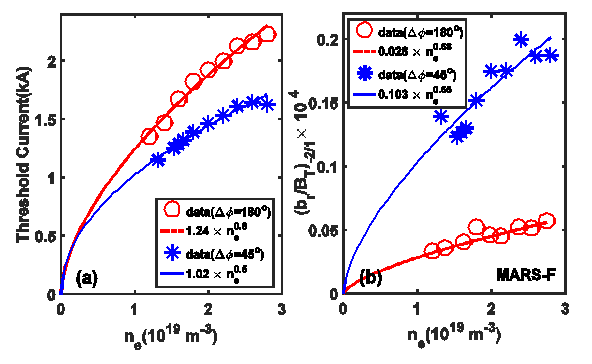
课题组通过采用外加磁扰动场在EAST上开展误差场锁模定标实验研究,理论分析了锁模定标的关键因素,发现等离子体能量约束区间对于锁模密度定标理解至关重要,利用实验给出的各种参数依赖,很好地解释了锁模实验定标率。EAST上不同磁扰动谱型下的实验观察均得到锁模阈值的密度依赖指数大概是0.5次方,这就和理论上没有明显的密度依赖关系相矛盾。类似的矛盾结果在其它装置上也观察到,但是没有很好的解释。因此,课题组结合非线性锁模理论,对EAST上的各种宏观参数的依赖关系的仔细分析,尽管在这样的低密度条件下运行,能量约束时间定标区间位于饱和欧姆约束区,而不处于以前经典理论假设的Neo-Alcator线性区间,最后综合给出的理论预测的定标结果与实验上测得的密度定标结果符合得很好。这项研究结果对于理解误差场锁模密度定标上理论与实验的差距及预测ITER误差场容忍范围方面具有重要的意义。
相关研究受到国家自然科学基金、国家磁约束核聚变能发展研究专项等项目的资助。
论文链接:http://iopscience.iop.org/article/10.1088/1741-4326/aab5c0
图1. EAST上实验测量到的n=1外加磁扰动场诱发锁模下的密度定标
图2. 锁模理论分析结果与实验观察结果吻合
