近日,等离子体所徐国盛研究员课题组在研究EAST装置长脉冲高约束模式放电条件下的边界局域模线性不稳定性方面取得进展,相关内容由博士生王一丰等人以Stability analysis of ELMs in long-pulse discharges with ELITE code on EAST tokamak为题发表在核聚变领域期刊Plasma Phys. Control. Fusion上[Plasma Phys. Control. Fusion: 60, 055002 (2018)]。
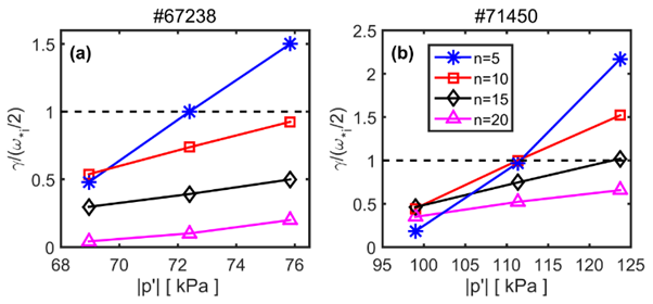
在2017年物理实验中,EAST装置成功实现了101.2s稳态长脉冲高约束模式等离子体运行,创造了新的世界纪录。EAST装置上稳态长脉冲高约束模式等离子体放电面临的关键问题之一是控制边界局域模爆发产生的瞬态热负荷,理解长脉冲放电条件下的边界局域模特征有助于对其进行有效控制。基于EAST装置上的各种分布测量诊断,对典型长脉冲高约束模式等离子体做了动理学平衡计算,并利用ELITE程序对台基区域的理想线性剥离-气球模稳定性做了分析。计算结果显示,长脉冲高约束模式等离子体放电中,最不稳定模式为环向模数n=10~15,最不稳定模结构局域在台基梯度区域,与实验测量的边界局域模径向影响范围一致。与更高等离子体电流(Ip=600kA)且伴随第一类边界局域模的台基比较,长脉冲高约束模式等离子体放电(Ip=450kA)下的台基剥离-气球模更加稳定,通过扫描台基压力梯度并保持碰撞率不变,估算得到长脉冲高约束模式等离子体放电的临界压力梯度峰值约为前者的65%。相比其它托卡马克,EAST装置的两个重要特征,包括更宽的台基结构和更小的逆纵横比,被认为有助于EAST装置在长脉冲高约束模式放电条件下获得比较小的边界局域模。此外,边界分布测量的误差对稳定性计算结果的影响也做了分析,包括边界密度分布的径向位置误差,最外闭合磁面位置误差和有效电荷数误差。
文章链接:http://iopscience.iop.org/article/10.1088/1361-6587/aab174/meta
图1 利用ELITE计算得到的长脉冲放电#67238(红色)和更高等离子体电流且伴随第一类边界局域模放电#71450(蓝色)的台基剥离-气球模稳定性结果:(a)稳定性区间,(b)各环向模数增长率。
图2 通过扫描台基压力梯度并保持碰撞率不变,估算得到#67238和#71450的临界台基压力梯度峰值,前者约为后者的65%。
