科研进展

当前位置:首页 > 科学研究 > 科研进展

等离子体所在探索托卡马克先进偏滤器位型方面取得新进展

作者:杨莹发布时间:2018-04-18【打印】【关闭】

  偏滤器是托卡马克装置的重要组成部分之一,有关偏滤器的设计、建造及运行也一直是核聚变研究领域中的核心问题之一,探索、设计并优化托卡马克先进偏滤器位型对于目前EAST下偏滤器的升级改造及正在推进的CFETR偏滤器设计有着重要意义。近日,等离子体所托卡马克物理研究室模拟组研究人员在探索托卡马克先进偏滤器位型方面取得了新进展,提出了一种潜在的先进偏滤器设计方案,即同时耦合偏滤器靶板几何封闭性和先进磁场位型,相关成果已发表在期刊Nuclear Fusion[Nucl.Fusion 58 (2018) 056026]。

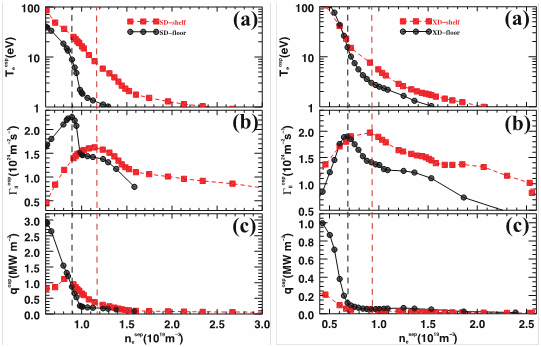
  相较于单独提高偏滤器靶板区域的几何封闭性,或单独使用先进磁场位型(如雪花位型或X-Divertor位型),二者的耦合效应可以更有效地降低偏滤器脱靶阈值,在较低的上游密度条件下实现偏滤器部分脱靶或完全脱靶状态;此外,基于先进磁场位型磁通扩展等优势还可大幅缓解流向偏滤器靶板的热流密度。此项工作是采用托卡马克边界等离子体程序SOLPS,率先在DIII-D装置上进行了模拟验证,下一步将在EAST和CFETR偏滤器设计中验证该方案的可行性及普适性。

  以上研究成果得益于等离子体所长期广泛的国内外合作与交流,尤其是与美国通用原子能公司DIII-D边界及等离子体与材料相互作用中心的深入合作。相关研究受到了国家自然科学基金、国家磁约束核聚变能发展研究专项、中科院前沿科学重点研究项目、中科院王宽诚率先人才计划“卢嘉锡国际团队项目”及美国能源部相关研究基金的支持。

  论文链接:https://doi.org/10.1088/1741-4326/aab6c8 

   

  四种不同偏滤器位型对应的下外靶板打击点处电子温度、平行粒子流密度、热流密度随上游外中平面分界面处电子密度的变化

附件下载