“拓扑半金属”是不同于“拓扑绝缘体”的一类全新拓扑电子态,具备奇异的磁输运性质(如手性负磁阻、巨磁电阻),以及极高的载流子迁移率等,是目前量子材料领域研究的热点和前沿。根据能带的结构特点,拓扑半金属可以分为拓扑狄拉克半金属、外尔半金属和“节线”(Node-Line)半金属等。在拓扑节线半金属中,能带的交叉点在晶格动量空间形成连续的闭合曲线。在这种表面平带(flat band)中引入电子关联效应或超导配对,将有望实现分数拓扑态或高转变温度超导等新物态。
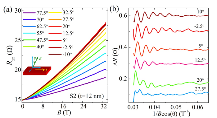
强磁场科学中心田明亮研究员课题组宁伟研究员、博士生安琳琳、张红伟等,利用水冷磁体33T稳态场对层状化合物Nb3SiTe6在强磁场下的量子输运特性进行了研究。理论计算认为这种化合物可能是一种新的节线半金属。研究人员通过解理Nb3SiTe6单晶获得不同厚度的Nb3SiTe6纳米片,并对纳米片的磁电阻行为和霍尔电阻进行了仔细测量。研究表明,Nb3SiTe6纳米片的输运过程主要是空穴主导的,其迁移率随着纳米片变薄而减小。而磁电阻测量发现,Nb3SiTe6纳米片在较高磁场下表现出线性磁电阻,在磁场高达33T时依然没有饱和的迹象,同时在高场下(>20T)出现量子振荡行为。通过不同磁场角度下的量子振荡结果发现,Nb3SiTe6的费米面具有二维特征,且样品中的电子具有非平庸的贝里位相(Berry phase)。这些实验结果首次给出了Nb3SiTe6是拓扑保护的半金属材料的实验证据。
该研究成果以“Magnetoresistance and Shubnikov–de Haas oscillations in layered Nb3SiTe6 thin flakes”为题发表在美国物理评论杂志上 [Phys. Rev. B 97, 235113 (2018)]。该研究工作得到了国家重点研发计划项目、国家自然科学基金以及合肥大科学中心等项目的支持。
文章链接:https://link.aps.org/doi/10.1103/PhysRevB.97.235133。
图1. Nb3SiTe6纳米片在(a)变温过程中的电阻特性以及(b)不同温度下的磁阻行为。
图2. Nb3SiTe6纳米片在强磁场(~33 T)下的(a)非饱和线性磁电阻和(b)不同磁场角度下的量子振荡行为。
