近日,等离子体所徐国盛研究员团队通过研究EAST低杂波保护限制器热斑刻蚀机理,揭示了EAST低杂波石墨保护限制器热斑引起杂质爆发的物理机制是以化学溅射为主,因此当温度上升到碳的化学溅射增强的温度,就会出现碳杂质爆发现象,严重制约了低杂波系统的高功率(>2MW)运行。而通过更换金属钨天线保护限制器,可以避免化学溅射并增加冷却能力。该成果已发表在国际学术期刊Physics of Plasmas杂志上 [Y. L. Li, G.S. Xu et al. Phys. Plasmas 25, 082503 (2018)]。
自从4.6GHz低杂波系统投入EAST实验以来,低杂波天线口保护限制器热斑刻蚀靶板问题日益突出。低杂波驱动快电子导致的热斑严重阻碍了低杂波系统的注入功率和高参数长脉冲的运行。为了理解热斑的形成和刻蚀机理,研究人员在实验基础上发现,碳杂质爆发与热斑处温度存在依赖关系,热斑处的温度比背景靶板处温度高5倍,并随放电时间和等离子体密度满足准线性关系。为了理解热斑刻蚀靶板而引起等离子体碳杂质含量变化的物理机理,本课题组在原有发展刮削层快电子模型的基础上[Y. L. Li, G.S. Xu et al. Phys. Plasmas 25, 022510 (2015)]进一步发展了天线口处的快电子理论模型,并结合两点模型和新发展的存在快电子下的鞘层电位模型来计算天线口处等离子体参量信息,以此为输入参量,进一步计算物理溅射、化学溅射和辐射增强升华等溅射引起的碳杂质溅射产额。
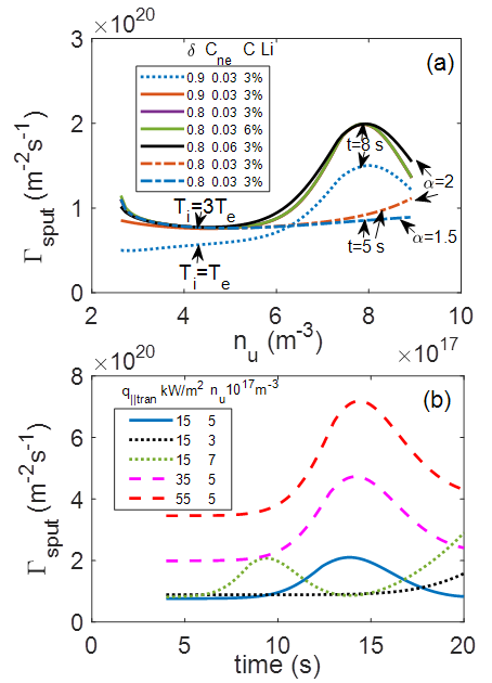
碳杂质溅射通量的时间演化揭示,随着器壁温度达到化学溅射的适宜温度,碳杂质溅射通量将会从平稳状态明显爆发,在放电时序上能监测到明显的碳杂质鼓包。通过扫描天线口密度和平行方向能流发现,碳杂质溅射通量随着背景平行方向能流的增加而增强,而碳杂质溅射鼓包随着密度的增加而在时间上前移。在本质上热斑处的温度和鞘层电位的增强分别由低杂波驱动快电子沉积到等离子体中的能流和电流导致的。
本模型揭示化学溅射以及可能包含化学增强引起的碳的自溅射可以导致实验上观测到的碳杂质爆发。理论模型定性上与密度扫描实验一致,并且从理论上推导的热斑处的能流与等离子体参量依赖关系也与Tore Supra上热斑能流的实验定标一致。对于EAST稳定长脉冲运行,本论文指出从运行和工程上降低天线口热斑的温度有利于阻止热斑处碳杂质爆发。在运行上,通过控制gapout来控制天线口密度有利于降低热斑温度。在工程上,提高靶板热传导系数以及选择化学溅射低的钨材料将有利于长脉冲运行。以上两点在2018年的实验上得到了证实。
以上研究成果是等离子体所相关科研人员通力合作的结果,相关研究得到了国家磁约束核聚变能发展研究专项、国家自然科学基金、博士后国际交流计划、中科院青年创新促进会、中科院前沿科学重点研究项目以及中科院王宽诚率先人才计划“卢嘉锡国际团队”项目资助。
论文链接:https://doi.org/10.1063/1.5019255
图1.(a)损坏的天线口石墨瓦与全新石墨瓦比较图;(b)低杂波天线和极向限制器位置示意图;(c)石墨瓦块形状在2016a,2016b和2017a实验演化图。
图2.(a)不同炮下C5+杂质演化图;(b)密度归一化C5+杂质浓度与等离子体密度依赖图;(c)不同炮下Cu25+杂质演化图;(d)密度归一化Cu25+杂质浓度与等离子体密度依赖图;
图3.(a)不同参数下碳杂质溅射通量密度与上游等离子体密度依赖关系;(b)不同平行方向能流和上游等离子体密度情况下碳杂质溅射通量密度时间演化图。
