拓扑半金属是一类新型的拓扑材料,具有类似于基本粒子的低能激发态,在科学认知与实际应用方面具有重大意义。其中,狄拉克半金属的狄拉克点兼具晶体对称性与时间反演对称性,被称为“三维石墨烯”。如果晶体对称性或时间反演对称性破缺,狄拉克点变为一对外尔点,形成外尔半金属。晶体对称性破缺的外尔半金属已经在TaAs、WTe2等体系中发现,而时间反演对称性破缺的外尔半金属则长期未被发现。主要原因在于角分辨光电子能谱在研究磁性材料时有很大局限,不能提供磁有序态下的明确电子结构。理论上预测可能存在磁性拓扑半金属态的体系包括镧系金属锑化物、铋化物,以及GdPtBi、Mn3Sn等。
在该工作中,研究人员利用强磁场下的磁性与输运测量,研究了NdSb、DySb等材料的磁结构转变,分析了不同磁结构下电子输运的基本信息与载流子特性,结合第一性原理能带计算结果,发现NdSb的反铁磁态是狄拉克半金属态,DySb的铁磁态是外尔半金属态。尤其是,在NdSb上观测到的手性反常导致的负磁阻现象,为拓扑半金属态的存在提供了坚实证据。而NdSb、DySb也以其可调控的磁结构为研究磁性与拓扑的关联提供了理想的载体。
该系列工作的输运测量是在稳态强磁场实验装置的一号水冷磁体WM1与混合磁体上进行的,磁性测量是在二号水冷磁体WM2的磁性测量系统(VSM)上进行的。
该工作得到了国家重点研发计划、国家自然科学基金等项目的支持,主要完成人为研究生王永建、梁丹丹,相关研究发表在Physical Review B、APL Materials上。
文章链接:https://link.aps.org/doi/10.1103/PhysRevB.97.115133;https://doi.org/10.1063/1.5040662。
、
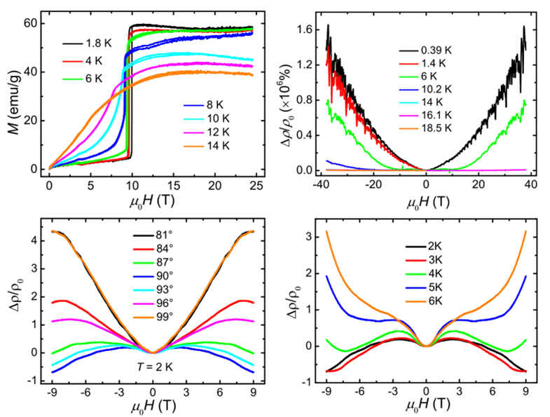
NdSb的高场磁化率、磁阻测量(上图)与负磁阻测量(下图)
(上左图WM2提供最高场25T,上右图WM1提供最高场38T)
DySb的高场磁阻测量与能带计算结果(上左混合磁体提供最高场38.7T)
