近期,固体所纳米材料与纳米结构研究室费广涛研究员课题组与中国科学技术大学合肥微尺度物质科学国家研究中心张尧博士合作,在光电晶体管的光调控方面取得进展。研究发现,Ag/TiO2复合薄膜在外加两束光照射后,具有类似于三极管的特性,可以实现对光电信号的增强、开关和调制,该器件被称为全光输入的晶体管。相关结果作为卷首图片(Frontispiece)文章发表在Advanced Functional Materials (Adv. Funct. Mater. 28(40), 1870290 (2018))上。
银/二氧化钛(Ag/TiO2)多孔膜由于其表面等离共振及热电子的快速转移特性,被认为是热电子光探测器的理想材料,而增强其光响应度一直是科研人员研究的目标。课题组助理研究员高旭东博士等在研究Ag/TiO2多孔膜对近红外光的响应性能时偶然发现,在近红外光照射的基础上再增加一束紫外光照射,该复合薄膜对近红外光探测的响应度会有近100倍的增加(图1)。
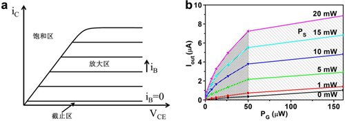
这表明,Ag/TiO2复合薄膜在外加两束光照射后,具有类似于三极管的特性。众所周知,三极管是半导体基本元器件之一,具有电流放大作用,是电子电路的核心元件。三极管有三个电极,分别是基极、发射极和集电极。通常情况下,在三极管中,电信号从基极输入,从集电极输出,它的输出特性曲线如图2a所示。研究发现,当近红外光作为源极信号光输入,复合薄膜将这种近红外光转换成电信号输出,在此基础上,再外加紫外光照射到复合薄膜上,可以调控输出的电信号,输出特性曲线如图2b。比较图2b与图2a可见,Ag/TiO2复合薄膜的输出特性曲线与三极管的输出特性曲线非常相似,因此,将这种Ag/TiO2复合薄膜称作全光输入的晶体管。值得一提的是,这种光电器件只需要两束光输入,不需要外加电驱动。
分析表明,这种光控光电流增强特性源于器件的Ag与TiO2之间的肖特基势垒。多孔TiO2在一般情况下,表面有大量的化学吸附氧,表面能带向上弯曲,在与Ag接触后,便形成高势垒肖特基结(图3a)。近红外光照射到Ag薄膜上时,会激发表面等离激元,进而产生热电子。部分热电子会越过Ag与TiO2之间的肖特基势垒,进入TiO2一侧,进而产生光电流。由于肖特基势垒较高,越过势垒的热电子数量较少。而当紫外光照射到Ag/TiO2复合薄膜上时,TiO2内部产生的光生空穴可以从表面吸附的氧上夺取电子(去氧吸附),导致表面能带下降,进而使肖特基势垒下降。也就是说,通过紫外光照射可实现肖特基势垒高度的调节。随着肖特基势垒的降低,越过势垒进入TiO2一侧的热电子会大幅度增加,导致光电流有数量级的增加(图3b)。由此,通过控制紫外光的光强来调节肖特基势垒高度,可实现对输出热电子光电流的可控调节,即实现了光电流输出的有效放大。
类比于三极管对电信号的放大、开关和调制等功能,这种Ag/TiO2复合薄膜全光输入的晶体管可用于对光电信号的增强、开关和调制(图4)。该项工作为未来光电器件的研制提供了重要参考。
本工作得到国家重点研发计划、国家自然科学基金的资助。
图2. (a) 三极管的输出特性曲线,(b) Ag/TiO2复合薄膜的光电输出特性曲线。
图3. Ag/TiO2复合薄膜的光电响应过程能带图:(a) 近红外光(PS)激发的热电子越过高肖特基势垒,(b) 近红外光(PS)激发的热电子越过被紫外光(PG)降低后的肖特基势垒。
