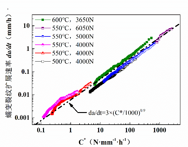
作为聚变堆能量转换部件,包层要面对来自堆芯的高温高热载荷冲击,在这一极端环境下,结构材料抵抗裂纹扩展的能力是未来聚变堆发展的关键。针对该问题,研究人员开展了包层服役温度与事故工况温度下CLAM钢蠕变裂纹扩展行为研究,基于粘塑性力学模型,构建高温加载环境与CLAM钢蠕变裂纹扩展速率的数值关系。
研究结果表明,CLAM钢在高温和载荷耦合作用下具有良好的稳定性,能够有效抑制蠕变裂纹的萌生与扩展,从而确保ITER-TBM服役寿期内的蠕变安全性,为聚变堆等先进核能系统的发展提供重要的材料支持和保障。
CLAM钢可应用于聚变堆、聚变裂变混合堆和裂变铅基堆等先进核能系统。本研究得到国家磁约束核聚变能发展研究专项和国家自然科学基金项目的资助。
文章链接:https://www.sciencedirect.com/science/article/abs/pii/S092150931831102X

不同环境下CLAM钢蠕变裂纹扩展速率与C*参量本构关系
