针对以上所存在的问题,该课题组张会丽博士后等人通过共掺Cr3+作为敏化剂,提高闪光灯泵浦效率,同时共掺Cr3+还可以提高晶体的抗辐射性能。采用熔体提拉法成功生长出了高光学质量的Cr,Nd:YAG晶体,在重复频率为40赫兹时,实现了最大平均输出功率20.24W,电光效率3.00%和斜效率3.77%的激光输出,而在相同条件下,在Nd:YAG晶体上其值仅分别为13.32W、1.97%和2.47%,结果表明,通过掺入敏化离子Cr3+可有效地提高激光性能,并且对光束质量影响较小。
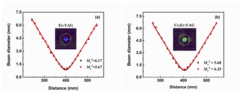
2.7-3微米中红外激光在生物医学、大气探测及科学研究等领域有着广泛的应用。该课题组张会丽博士后、权聪博士等人还采用提拉法生长了Er:YAG和Cr,Er:YAG晶体,对晶体质量、光谱、激光性能及光束质量进行了对比研究。重复频率为5赫兹时,在Cr,Er:YAG晶体上实现了最大单脉冲能量1.52焦耳,斜效率1.80%,电光效率1.28%的2.94微米中红外激光输出,而在相同条件下,在Er:YAG晶体上其值仅分别为0.99焦耳、1.31%和0.83%,结果表明,共掺Cr3+使得Cr,Er:YAG晶体的中红外激光输出能量和效率均得到较大提高。
以上工作对于提高1.06微米近红外及2.7-3微米中红外激光晶体的性能并推进其实际应用具有重要意义。
相关工作得到国家自然科学基金及国家高技术项目的资助。
全文链接:https://doi.org/10.1117/1.OE.58.2.027116
https://doi.org/10.1016/j.infrared.2018.12.031
图1 Nd:YAG和Cr:YAG晶体毛坯及激光晶体棒(左); Er:YAG和Cr,Er:YAG晶体毛坯及激光晶体棒(右)

图2 Nd:YAG与Cr,Nd:YAG晶体在不同重复频率与输入能量下的激光输出特性

图3 Nd:YAG与Cr,Nd:YAG晶体的光束质量因子M2

图4 Er:YAG与Cr,Er:YAG晶体在不同重复频率与输入能量下的激光输出特性

图5 Er:YAG与Cr,Er:YAG晶体的光束质量因子M2
