中国科学技术大学陈仙辉院士课题组借助稳态强磁场实验装置(SHMFF)超导磁体SM1,在拓扑狄拉克半金属Cd3As2材料的热电性能方面取得了重要进展,发现了其热电性能在磁场中的极大增强效应,该研究成果发表在《先进功能材料》(Advanced Functional Material)上。
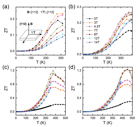
能带工程和声子工程对热电性能带来提升似乎接近停滞,热电领域亟需新的思想和方法来带动新的变革。本工作利用强磁场极大的提升了不同载流子浓度的拓扑狄拉克半金属Cd3As2单晶的热电性能,最高的品质因子ZT在450K、9T下达到1.24,已经优于目前商用的Bi2Te3 (零磁场下ZT~1)。研究认为,磁场中ZT的剧烈增加可以归因于磁场对热电势系数的极大提升和对Lorenz数的快速压制,这与Cd3As2中的线性能带色散关系导致的极高迁移率以及其中输运过程中小角散射过程起主导作用有关。
将磁场运用到拓扑材料以增强其热电性能,使得热电研究开始进入了量子材料领域,为寻找新的热电材料体系开拓了新的方向,也为提升热电性能提供了新的思路。
该工作得到了科技部、国家自然科学基金委、中国科学院及合肥大科学中心项目资助。
文章链接:https://onlinelibrary.wiley.com/doi/full/10.1002/adfm.201902437。
不同载流子浓度的Cd3As2单晶ZT在磁场的剧烈提升
