近期,中科院合肥研究院固体所材料应用技术研究室秦晓英研究员课题组提出了一种简便的制备β-Ag2Se基合金的方法。在317K时,β-Ag2Se的最大热电优值为0.7。进一步采用Sn掺杂,来改善β-Ag2Se的电学和热学性能,使得β-Ag1.9Sn0.1Se在300K时ZT峰值达到0.9,多次重复测试结果表明,Sn掺杂是提高β-Ag2Se热电性能的有效途径。相关研究成果发表在Materials Chemistry Frontiers上。
热电(TE)材料为废热回收和冷却应用开辟了可能性。热电材料的性能由ZT=σS2T/κ的值决定,其中σ、S、T和κ分别是电导率、塞贝克系数、绝对温度和导热系数。因此,高ZT材料需要高功率因数和低导热系数。而不同的制备方法对Ag2Se的ZT值有很大影响,采用熔炼法制备的β-Ag2Se在室温下的峰值ZT为0.32 ~ 0.96,而采用湿化学法制备的β-Ag2Se纳米晶最大ZT仅为0.23,严重制约了Ag2Se的应用。
为此,秦晓英课题组通过一步法成功合成出β-Ag2Se和β-Ag1.9Sn0.1Se纳米材料。对β-Ag2Se样品进行重复测试,发现材料性能稳定且β-Ag2Se的最大ZT为0.7。进一步采用Sn掺杂,β-Ag1.9Sn0.1Se在300K时ZT最大值达到0.9,这一数值与室温唯一使用的n型热电材料Bi2Te2.7Se0.3相比拟,是湿化学法报道的最高值。相关工作也为优化其他热电材料的性能提供了技术指导。
该工作得到国家自然科学基金的支持。
文章链接:https://pubs.rsc.org/en/content/articlelanding/2020/qm/c9qm00487d

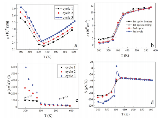
图1. Ag2Se的 (a)电阻率ρ;(b) 载流子浓度n;(c) 迁移率μ和 (d) 塞贝克系数S循环三次温度的函数。

图2. Ag2-xSnxSe (x = 0和0.1)的热电性质随温度的函数:(a) ρ;(b) S;(c) PF;(d) κ;(e) ZT和 (f) ZT与报告值的比较。
