近日,中科院合肥研究院固体所计算物理团队郑小宏研究员课题组在光致纯自旋流的研究中取得新的进展,提出了结构具有空间反演对称而自旋密度具有空间反演反对称的体系是利用光学伽伐尼效应获得纯自旋流的理想体系,且纯自旋流的产生不依赖于光子的能量、光的偏振类型或偏振角。本研究工作为可靠地得到纯自旋流提出了一种重要的方案。 相关结果以Rapid Communication发表在Physical Review B 上。
光学伽伐尼效应(Photogalvanic Effect,PGE)是一种非线性光学效应,指的是在空间结构的反演对称性破缺的体系中无需施加电压,仅通过光照即可产生直流电流的现象。这一效应自从1978年首次提出至今,一直是人们争相研究的对象,不仅在传统半导体中获得了系统研究,在新兴的二维材料中也开始引发广泛关注。然而,长期以来人们一直认为,空间反演对称破缺是实现光学伽伐尼效应的前提条件,所以到目前为止,几乎所有的光学伽伐尼效应研究的对象都是空间反演对称破缺的体系。
固体所的科研人员在研究结构具有空间反演对称、而磁性具有空间反演反对称体系的光电流时发现,在看似平静的没有净电荷流动的“表面”下却暗藏着电子的定向流动,而且自旋向上和自旋向下的电子产生的电流总是大小相等、方向相反,从而形成纯自旋流。这一结果首先在三角形锯齿边反量子点修饰的扶手椅型石墨烯纳米带中实现。
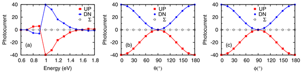
进一步的研究发现,在这类体系中光致纯自旋流的产生不依赖于光子的能量、光的偏振类型和光的偏振角。这是和以往利用光学伽伐尼效应实现纯自旋流的类似方案相比所具有的一个显著的优势。以往的方案由于均是建立在体系结构必须具有空间反演对称破缺的基础上,因而产生净电荷流是一个必然事件,得到纯自旋流只是一个偶然事件,即只能对光源参数进行精密调节而在某些特定的光子能量或特定的偏振角下得到纯自旋流。
由于这类体系中事先并不知道在什么光子能量或什么偏振角下会出现纯自旋流,以及稍微偏离其光子能量或偏振角,纯自旋流出现的条件就会消失,因而实验上非常难以控制。本研究提出的方案则可以完全不受这些光源条件的限制,建立在结构具有空间反演对称的基础上,因此电荷流必定为0,只要有电子的流动就必然自动为纯自旋流。
纯自旋流(Pure Spin Current)是自旋电子学的一个重要概念,指的是材料或器件中的电子在外加驱动作用下只产生自旋的流动,而没有净电荷的流动。由于纯自旋操控具有低功耗的特点,在信息的传输与存储中具有重要的意义,近年来在自旋电子学领域引起了广泛的关注。纯自旋流的产生一直都是自旋电子学中的重要课题。本研究工作为可靠地得到纯自旋流提出了一种重要的方案。
本研究工作得到国家自然科学基金的资助,相关计算在中科院超算中心合肥分中心完成。
文章链接:https://dx.doi.org/10.1103/PhysRevB.102.081402

图2. 光学伽伐尼效应产生纯自旋流原理示意图。
图3. 自旋向上、自旋向下和总的光电流的变化:(a)线偏振光下随光子能量的变化;(b)线偏振光下随偏振角的变化;(c)椭圆偏振光下随偏振角的变化。
