近期,中科院合肥研究院固体物理研究所徐文课题组与西南大学合作,利用太赫兹时域光谱(THz TDS)技术,研究了荧光碳量子点(CQDs)的光电特性,发现在80-280K温度范围内,红光荧光量子点(R-CQDs)在0.2-1.2 THz频段为光绝缘体(即对THz光全透),而蓝光荧光量子点(B-CQDs)随THz频率、温度的增加出现绝缘体-半导体转变。相关研究成果以“Optically induced insulator-to-semiconductor transition in fluorescent carbon quantum dots measured by terahertz time-domain spectroscopy”为题发表在Carbon上。
碳量子点是一种零维碳基材料,由于其优良的光电学性能和无环境污染制备技术,近年来受到广泛关注,有望成为新一代照明、显示器件的基础材料。在器件应用中,CQDs通常被制备成固体粉末或薄膜,其光电特性与溶液中的CQDs存在较大差异。因此,对碳量子点粉末光电特性的研究可为碳量子点光电器件的制备提供重要的材料物理信息。THz TDS技术可无接触地测量材料光电导率及相关电输运参数,可应用于难以制备电极的纳米光电材料研究。
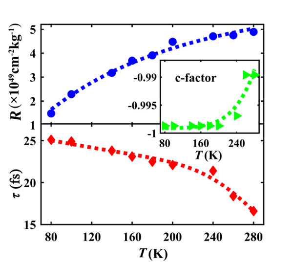
研究人员制备了在紫外光照射下分别发射蓝色荧光(B-CQDs)和红色荧光(R-CQDs)的两种荧光碳量子点溶液,通过滴样干燥获得粉末样品。样品表征研究发现,与B-CQDs相比,RCQDs具有更多吸附于碳核的C=O、-COOH基团和N相关的基团。这些基团会对CQDs的光学特性(如光荧光、红外吸收、THz响应等)产生极大的影响。在80-280 K温度范围内,研究人员测量了两种样品在0.2-1.2 THz频谱范围的透射率,发现R-CQDs在测量频谱范围内的THz光透射率约为1,对应的光电导趋于0,表现为光绝缘态行为。此效应产生的主要原因是R-CQDs的表面基团形成强烈的载流子束缚。而B-CQDs的THz光透射率在低频接近1,随着频率、温度的增加而逐渐下降,表现为由绝缘态到导电态的转变。此外,通过THz透射谱,研究人员获得了不同温度下B-CQDs光电导的实部和虚部,经Drude-Smith公式拟合导出B-CQDs的关键物理参数,并深入研究了这些参数的温度依赖关系。实验结果显示B-CQDs的导电态为半导体态,存在较强的载流子局域化效应,其电子散射主要由杂质、声学声子、光学声子散射引起。
该工作首次将THz TDS技术应用于荧光碳量子点的研究,为碳量子点粉末关键物理参数的实验测量提供了新方法,有助于深入了解碳量子点的基本物理特性。同时,研究中观测到荧光碳量子点在THz频段的绝缘-半导体转变这一有趣物理现象,表明碳量子点可应用于THz光透射的调控,制备新型THz器件。
该研究工作得到了国家自然科学基金和合肥科学技术中心项目的支持。
论文链接:https://authors.elsevier.com/c/1cDf81zUALjpu
图1. (a)两种碳量子点的光致发光光谱;(b)两种碳量子点的紫外-可见吸收光谱;(c)电子能级和光致发光电子跃迁示意图。


