近期,由中科院合肥研究院安光所大气光学中心和俄罗斯科学院大气光学所联合共建的中俄大气光学联合研究中心在卷云特性研究方面取得新进展。其研究结果发表在美国光学学会(OSA)期刊OPTICS EXPRESS上。
卷云,主要由冰晶构成,它是大气的重要组成部分,深刻影响着地气系统的辐射收支。因为冰晶在时间和空间上变化大,而且探测困难,所以目前人们对冰晶的大小、形状微观物理特性及其数密度知之甚少,而这些特性又是建设新一代气候模型迫切需要的。
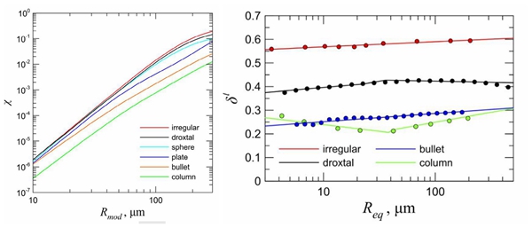
同时测量从同一卷云返回的激光雷达信号和微波雷达信号,是解密卷云微物理特性的一种前瞻性方法。在本项研究中,中俄双方研究人员首次计算、并分析了典型的冰晶形状和冰晶大小分布的激光雷达和微波雷达后向散射信号,结果表明激光雷达-微波雷达比对晶体尺寸最敏感,而激光雷达退偏振比对晶体形状最敏感。研究成果对创建新算法具有重要意义,进而推断出卷云中冰晶的大小和形状。
本项目由中科院青促会项目、基金委面上项目、安徽省杰青项目、中科院特别交流计划项目、中科院PIFI项目、安徽省重点研发计划项目等资助。
文章链接:https://doi.org/10.1364/OE.410942
卷云粒子激光-微波雷达比、退偏振比典型结果
