近期,中科院合肥研究院固体所功能材料与器件研究部朱雪斌研究员课题组在V2O3金属-绝缘体相变机理方面取得新进展,相关研究结果以“Unveiling the mechanisms of metal-insulator transitions in V2O3: The role of trigonal distortion”为题发表在Physical Review B 上。
金属-绝缘体相变是指材料在组分、温度、压力等作用下,发生金属相与绝缘相之间的转变,通常伴随着电阻率、磁性、光学反射率等物理性质的显著变化。这种独特物性使得这类相变材料在光电开关、信息存储、传感器、场效应晶体管、智能窗口等众多领域具有非常广阔的应用前景。因此,金属-绝缘体相变一直是凝聚态物理和材料科学中备受关注的热点和研究重点。
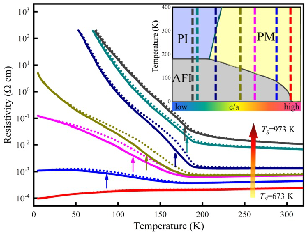
V2O3是一种典型的具有丰富金属-绝缘体相变现象的材料:室温常压下为顺磁金属(PM)相,Cr掺杂在晶体结构对称性不变的情况下将PM相转变为顺磁绝缘(PI)相,该PM-PI相变也被认为是凝聚态物理中标准的Mott-Hubbard相变;当温度降低到160 K左右时,V2O3将从PM相转变为反铁磁绝缘(AFI)相,同时还伴随着结构相变。虽然V2O3中的金属-绝缘体相变已经得到了人们的持续关注和广泛研究,但目前关于PM-PI相变是源于电子关联/三角畸变或Cr掺杂导致的局域结构畸变/无序还存在很大的争议,对PM相及其PM-AFI相变的基本物理问题仍然没有清晰的认识。
为了解决上述问题,科研人员在V2O3薄膜生长过程中将衬底温度作为唯一变化的调控参数,利用V2O3和Al2O3之间的晶格/热膨胀系数失配,在V2O3薄膜中实现了应力和三角畸变的大范围连续调节。在V2O3薄膜中通过面内拉伸应力增强三角畸变将PM相转变为PI相,电输运性质和拉曼光谱结果表明V2O3薄膜中应力与单晶中Cr掺杂对PM-PI相变具有相同的作用。这为澄清V2O3中PM-PI相变机理争议提供了关键的实验证据,直接揭示了三角畸变在PM-PI相变中的重要作用,对比实验表明Cr掺杂导致的局域结构畸变/无序只是起到了增大PM相和PI相电阻率的作用。通过拉曼光谱的研究还发现V2O3中PM相的轨道占据态随三角畸变发生显著变化并且直接决定了PM-AFI相变特性,从而改变了之前关于V2O3的PM相具有相同轨道占据态的传统观点,揭示了V2O3薄膜中的应力具有与单晶中的掺杂和静水压截然不同的调控机理,这为认识和理解PM相及其PM-AFI相变机理提供了新的依据。
该研究工作得到科技部重点研发项目和国家自然科学基金的支持。
全文链接:https://journals.aps.org/prb/abstract/10.1103/PhysRevB.103.085119
图1. (a) V2O3中三角畸变与t2g能级劈裂关系示意图;(b) V2O3薄膜晶格常数随衬底温度的变化关系;(c) V2O3与Al2O3的晶格/热膨胀失配对V2O3薄膜晶格常数a的影响。
图2. 不同衬底温度下制备的V2O3薄膜电阻率随温度的变化关系。

