科研进展

当前位置:首页 > 科学研究 > 科研进展

金属纳米孔洞准确预测模型的建立为金属材料辐照损伤提供了关键认知

作者:侯捷发布时间:2021-04-22【打印】【关闭】

       中科院合肥研究院固体物理所内耗与固体缺陷研究部刘长松研究员课题组与麦吉尔大学宋俊合作,在金属中的孔洞缺陷行为研究中取得重要进展,创建了能够准确预测体心立方金属中纳米孔洞结构与能量的物理模型,为金属材料的辐照损伤提供了寻求已久的关键认知。相关结果为理解辐照缺陷演化,以及设计新型抗辐照材料提供了可靠的理论基础和工具。该研究结果以“Accurate prediction of vacancy cluster structures and energetics in bcc transition metals”为题发表在金属材料领域权威期刊Acta Materialia上,侯捷博士为第一作者。

      纳米孔洞作为金属的本征缺陷之一,广泛存在于塑性变形、高温、高能粒子辐照等各类服役环境下。这些纳米孔洞对金属材料的诸多性质(例如合金元素偏析、孔洞肿胀、断裂、氢氦气泡形核等)起着决定性的影响。为了调控这些性质,理解纳米孔洞的基本性质显得至关重要。实验上对纳米尺寸缺陷的观测能力十分有限,而现有的计算模拟也受到准确性或计算效率的限制。因此,如何确定纳米孔洞的稳定结构以及能量仍然是个难题。在这项研究中,研究人员通过系统的密度泛函理论(DFT)计算,针对体心立方金属体系,找到了纳米孔洞的结构-能量关系,并建立起了一个新的物理模型来预测纳米孔洞的稳定结构以及能量。

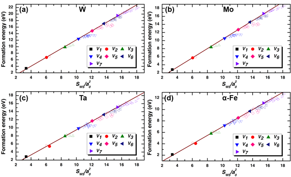
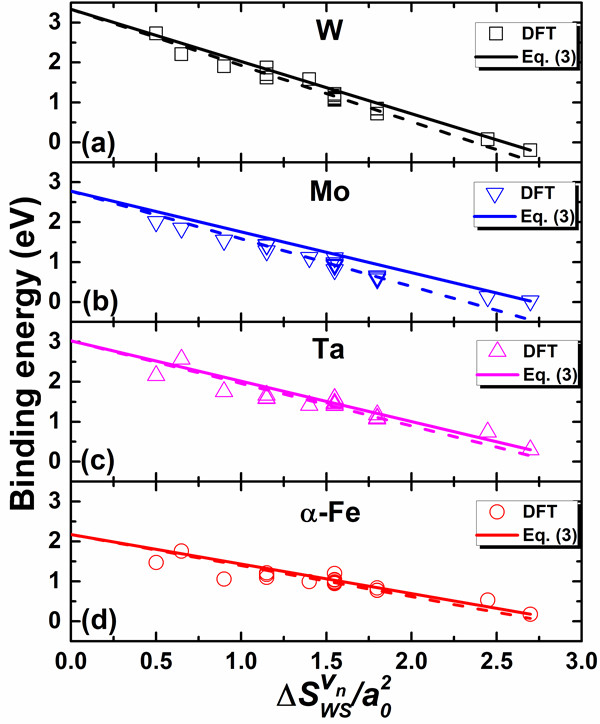
  首先,研究者筛查了大量不同结构的纳米孔洞,并通过DFT计算,获得了这些结构对应的形成能。如图1所示,研究人员发现,当纳米孔洞具有最小的Wigner-Seitz表面积时,它对应的形成能几乎总是最低(最稳定)的。并且,这些稳定纳米孔洞的形成能与其Wigner-Seitz表面积之间呈现出非常理想的线性关系。基于这一线性关系,研究人员能够准确的预测纳米孔洞的形成能,并进一步推导出纳米孔洞-空位结合能的模型公式。根据这一模型可以推测,纳米孔洞对空位之间的结合能,会与结合该空位所带来的Wigner-Seitz表面积增长( SVn WS )成线性关系。图2中给出了模型预测值与实际DFT计算所得结合能之间的对比,二者之间良好的吻合也验证了该模型的准确性。
  如图3所示,根据DFT计算,随着尺寸的增长,纳米孔洞对空位的结合能整体上增大,但其数值呈现出剧烈的波动。这些结合能的波动来自于SVn WS 的波动,例如V15孔洞结构紧凑,相对V14孔洞而言表面积增长很小(SV15WS = 0.5 a20),因此对应的结合能较大(EV15b = 2.47 eV)。但由于V15孔洞的闭壳层结构,后续空位只能以凸起形式结合在表面,相应的表面积增长自然很大(SV16 WS= 1.55 a20),对应的结合能就较小(EV16= 0.88 eV)。这里还给出了文献中广泛使用的球形近似模型对结合能的预测,由于球形近似忽略了具体的原子结构,其预测结果与DFT值相差较大,而新建立的模型则很好的预测出了DFT观测到的波动。由于结合能是研究纳米孔洞的重要参数,对结合能的准确描述是预测纳米孔洞演化的基础。图4给出了纳米孔洞高温退火的对象动力学蒙特卡洛(OKMC)模拟结果,可以看出基于新模型的OKMC模拟结果,与基于DFT的OKMC模拟以及实验结果均较为吻合,相比传统的球形近似模型体现出较大优势。
  这项研究解决了长期以来无法准确描述和预测纳米孔洞的结构与能量的基本问题,并建立了相应的定量物理模型,为金属材料的辐照损伤提供了寻求已久的关键认知。这些金属材料可以用在裂变发电站以及未来聚变反应堆当中,为解决能源危机发挥至关重要的作用。
  该研究工作得到国家磁约束核聚变能发展研究专项、国家自然科学基金等项目的支持。
 
     

 

 

图1. V1-V7 纳米孔洞在 W (a), Mo (b), Ta (c),以及 α-Fe (d)中的形成能随Wigner-Seitz表面积SWS的变化。 其中a0 为相应的晶格常数。实心数据点代表最稳定的结构,空心点为亚稳定结构。   

 
    

 

  

图2. V2-V20 纳米孔洞在 W (a), Mo (b), Ta (c) ,以及 α-Fe (d)中的空位结合能与Wigner-Seitz表面积变化SVnWS之间的关系。 其中a0 为相应的晶格常数。数据点代表DFT计算结果,直线为模型预测结果。 

  
 

 

  

  图3. W中纳米孔洞的空位结合能(a)以及Wigner-Seitz表面积变化SVnWS (b)随纳米孔洞尺寸n的变化。 其中a0 为相应的晶格常数,n为纳米孔洞中包含的空位个数。图中给出了DFT计算值(红色数据点)、模型预测值(绿色数据点)、以及传统球形近似模型预测值(蓝色实线)的比较。  
 
   

 

  

  图4.  1373K下纳米孔洞平均尺寸(a)以及密度(b)随退火时间的变化的OKMC模拟。红点为文献中给出的实验数据,蓝线为基于传统球形近似的模拟结果,绿线为基于新预测模型的模拟结果,阴影区域代表相应数据的标准差。
   

附件下载