近期,中科院合肥研究院固体所计算物理与量子材料研究部张国仁博士与德国于利希研究中心Pavarini教授合作,在5d关联体系Sr2IrO4的磁超交换耦合研究方面取得新进展。结合多种理论方法,确定了Sr2IrO4中两种可能的磁相互作用图像。相关研究结果发表在Physical Review B上。
Sr2IrO4在晶体结构和电子性质上与铜基超导母体材料La2CuO4有极强的相似性,这极大地激起了研究人员在掺杂的Sr2IrO4中寻找超导现象的兴趣。一大批实验工作已报道了可能与超导有关联的现象,诸如费米弧或赝能隙、类边缘费米液体电子散射率及电子-波色子耦合等。但确切的超导现象在掺杂的 Sr2IrO4中还没有被发现。因此,为什么超导在Sr2IrO4中“缺席”成为一个非常必要的研究课题,这有助于揭示掺杂铜基材料中的超导机理,特别是在自旋涨落可能起重要作用的情况下。探究Sr2IrO4中磁相互作用的细节,揭示其微观机理,确认其与La2CuO4中磁相互作用的差别是该课题的重中之重。在实验上,目前关于Sr2IrO4中的磁相互作用仍存在比较大的争议。特别是自旋波测量给出了较大的第二和第三近邻的磁耦合常数(15-20 meV),且第二近邻耦合是铁磁性的。这与通常基于二阶微扰的超交换作用相矛盾。
鉴于此,研究人员采用局域密度近似+动力学平均场理论计算,确定了Sr2IrO4材料中赝自旋的具体形式;通过高至四阶的多体微扰论计算了赝自旋间的超交换相互作用,并详细地探讨这些磁相互作用随晶体场及屏蔽库仑相互作用的变化。研究结果表明存在两种与现有实验结果一致的物理图像:(1)当Sr2IrO4处于强电子-电子耦合区域,其中的最近邻磁交换可用二阶超交换相互作用描述,而实验上通过自旋波测量得到的较大的第二和第三近邻磁耦合则可能需要考虑其它自由度及铁磁库仑交换作用;(2)当Sr2IrO4处于中间强度的电子-电子耦合区域,较大的洪特耦合会导致大的四阶第二近邻铁磁耦合和环形交换作用(图1)。其余的现象可以用量子涨落来解释。但哪个图像更符合真实材料Sr2IrO4,还需要通过进一步的实验来验证,关键是要从实验上确定环形交换作用的强弱,强的环形交换是中间耦合区域的重要特征之一。
此外,研究人员还发现在Sr2IrO4中,自旋-轨道激子在决定磁交换耦合时起到非常重要的作用(图2)。这是单轨道铜基材料所没有的性质。
上述工作得到了国家自然科学基金的资助,相关理论计算在德国于利希研究中心超级计算机系统JUWELS上完成。感谢德国于利希-亚琛研究联盟(JARA)在计算机时方面的支持。
文章链接:https://journals.aps.org/prb/abstract/10.1103/PhysRevB.104.125116。

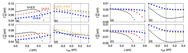
图1. 总磁超交换耦合(二阶+四阶微扰)。
左图:最近邻磁耦合随Hund耦合和晶体场的变化;右图:第二近邻磁耦合随Hund耦合和晶体场的变化。其中,U=3.2 eV代表强电子-电子耦合区域,U=2.0 eV代表中间耦合区域。

图2. 自旋-轨道激子参与的磁交换过程之一。
