近期,中科院合肥研究院智能所运动与健康研究中心发展了一种“基于简易风险因素的高血压风险评估方法”,该方法通过易于获得的生活方式信息和人体测量学信息,准确评估个体的高血压患病风险,具有低成本、易操作、易普及的特点,能够早期识别高血压高风险人群,实现有限预防资源的高度聚焦,为“预防为主、干预前置”的健康中国战略落地实施提供关键技术支撑。
高血压是全球范围内广泛流行的慢性疾病,已成为死亡的第一危险因素和经济负担的第三危险因素。高血压确诊时,动脉血管通常已经发生结构和功能改变,大多数患者需要长期使用药物加以控制。如能早期识别患病风险显著高于同年龄、同性别人群的“高血压高风险人群”,采用积极的运动、合理膳食、科学减重等综合干预措施,可以显著延缓动脉粥样硬化的发展进程,降低高血压的发病率。
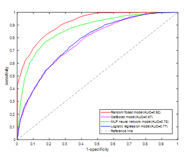
目前,高血压高风险人群的早期筛查主要通过高血压风险评估模型来实现,但现有的高血压风险评估模型存在预测变量收集复杂、预测能力有限及可解释性差等问题,限制了模型的普及应用。针对这些问题,智能所运动促进健康团队基于易于获得的生活方式信息和人体测量学信息,采用单变量逻辑回归分析和优化的随机森林相结合方法,构建新型高血压风险评估模型。该方法首先利用单变量逻辑回归分析选取高血压的风险因素,然后使用网格搜索优化随机森林分类器的超参数,构建高血压风险预测模型,最后通过对模型AUC的贡献计算预测变量的重要性,增强预测模型的可解释性。基于29750例临床数据的建模和验证表明,模型对于高血压高风险和低分险人群的识别能力Area Under Curve(AUC)为0.92,优于传统方法(AUC介于0.77至0.87之间)。同时,研究发现BMI、年龄、高血压家族史、腰围、吸烟、饮酒是排名前六位的高血压风险因素。
“基于简易风险因素的高血压风险评估模型”具有低成本、易操作等特点,让普通大众可以直观感受到到自己罹患高血压的风险,为“早筛查、早干预”的慢病防控提供有力武器,目前已广泛应用于运动与健康研究中心建设的多个示范应用基地。
相关研究成果已在Frontiers in public health杂志发表,博士生赵欢欢为论文第一作者。该项研究获得国家重点研发计划、国家自然科学基金、中科院STS重点项目、安徽省重大专项的资助。
文章链接:https://www.webofscience.com/wos/alldb/full-record/WOS:000704546000001
图1 基于简易风险因素的高血压风险评估框架
图2 各模型的ROC曲线
图3 预测模型的变量重要性排序
